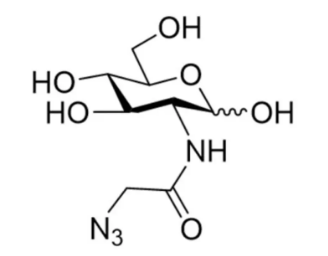
英文名称:2-[(Azidoacetyl)amino]-2-deoxy-D-glucose
中文名称:2-[(叠氮基乙酰基)氨基]-2-脱氧-D-葡萄糖
CAS No:92659-90-0
分子式: C8H14N4O6
分子量: 262.22
纯 度:≥ 98%
性 状:白色粉末

叠氮糖相关产品:
13992-25-1 2,3,4,6-Tetra-O-acetyl-Beta-D-glucopyranosyl azide
2,3,4,6-四乙酰基-Beta-D-葡萄糖-1-叠氮化物
13992-26-2 2,3,4,6-Tetra-O-acetyl-Beta-D-galactopyranosyl azide
2,3,46-四乙酰基-Beta-D-半乳糖-1-叠氮化物
6205-69-2 2-Acetamido-3,4,6-tri-O-acetyl-2-deoxy-Beta-D-glucopyranosyl azide
2-乙酰氨基-2-脱氧-3,4,6-三乙酰基-Beta-D-半乳糖-1-叠氮化物
53784-33-1 2,3,4-Tri-O-acetyl-Beta-D-xylopyranosyl azide
2,3,4-三乙酰基-Beta-D-木糖-1-叠氮化物
67776-38-9 Methyl 2,3,4-tri-O-acetyl-b-D-glucopyranuronosyl azide
西安齐岳生物科技有限公司经营的产品种类包括有:合成磷脂、高分子聚乙二醇衍生物、嵌段共聚物、磁性纳米颗粒、纳米金及纳米金棒、近红外荧光染料、活性荧光染料、物、蛋白交联剂、小分子PEG衍生物、点计化学产品、树枝状聚合物、环糊精衍生物、大环配体类、荧光量子点、透明质酸衍生物、石墨烯或氧化石墨烯、碳纳米管、富勒烯,二氧化硅及介孔二氧化硅,聚合物微球,近红外荧光染料,聚苯乙烯微球,上转换纳米发光颗粒,MRI核磁造影产品,荧光蛋白及荧光探针等等。
![92659-90-0,2-[(叠氮基乙酰基)氨基]-2-脱氧-D-葡萄糖,2-[(Azidoacetyl)amino]-2-deoxy-D-glucose-UDP糖丨MOF丨金属有机框架丨聚集诱导发光丨推荐西安齐岳生物](http://www.reconroofs.com/images/logo.png)



齐岳微信公众号
官方微信
库存查询