西安齐岳生物科技有限公司经营的产品种类包括有:合成磷脂、高分子聚乙二醇衍生物、嵌段共聚物、磁性纳米颗粒、纳米金及纳米金棒、近红外荧光染料、活性荧光染料、物、蛋白交联剂、小分子PEG衍生物、点计化学产品、树枝状聚合物、环糊精衍生物、大环配体类、荧光量子点、透明质酸衍生物、石墨烯或氧化石墨烯、碳纳米管、富勒烯,二氧化硅及介孔二氧化硅,聚合物微球,近红外荧光染料,聚苯乙烯微球,上转换纳米发光颗粒,MRI核磁造影产品,荧光蛋白及荧光探针等等。
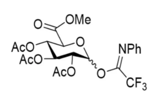
英文名称:1-(2,2,2-Trifluoro-N-phenylacetimidate)-2,3,4-tri-O-acetyl-D-glucuronic Acid Methyl Ester
中文名称:1-(2,2,2-三氟-N-苯基亚胺酯)-2,3,4-三-O-乙酰基-D-葡萄糖醛酸甲酯
CAS No:869996-05-4
分子式: C21H22F3NO10
分子量:505.39
纯 度:≥ 98%
性 状:白色粉末

相关产品:
869996-05-4 1-(2,2,2-三氟-N-苯基亚胺酯)-2,3,4-三-O-乙酰基-D-葡萄糖醛酸甲酯
72692-06-9 2,3,4-三-O-乙酰基-α-D-葡萄糖醛酸甲酯
13533-58-9 乙基 α-D-硫代葡萄糖苷
134253-42-2 1-O-甲基-β-D-葡萄糖醛酸钠盐
935658-93-8 Ac4ManNAl
80321-89-7 1,3,4,6-四-O-乙酰基-2-叠氮-2-脱氧-β-D-吡喃葡萄糖
2823-44-1 2,3,4,6-四-O-乙酰基-α-D-氟代吡喃甘露糖
2872-65-3 4-甲氧基苯基 2,3,4,6-四-O-乙酰基-β-D-吡喃半乳糖苷
2001-96-9 4-硝基苯基 β-D-吡喃木糖苷
1215204-46-8 N-propargyloxycarbonyl-L-lysine
21085-72-3 1-溴代-2,3,4-三-O-乙酰基-α-D-葡萄糖醛酸甲酯
56883-39-7 2-叠氮-2-脱氧-D-葡萄糖
65864-60-0 2,3,4,6-四-O-乙酰基-β-D-叠氮化吡喃甘露糖
934591-76-1 5-乙酰氨基-7,8,9-三-O-乙酰基-5-N,4-O-羰基-3,5-二脱氧-2-S-苯基-2-硫代-β-D-甘油-D-半乳-2-吡喃神经氨酸甲酯
供应商:西安齐岳生物科技有限公司
纯度:98%+
产地:西安
用途:仅用于科研
外观:瓶装




齐岳微信公众号
官方微信
库存查询