吖啶酯(DMAE-NHS )
英文名称:2 '6-dimethyl-4'- (N-succinimidyloxycarbonyl ) phenyl-10-methyl-acridinium-9-carboxylate methosulfate
CAS : 115853-74-2
中文名称:9-[[4-[[ ( 2,5-二氧代-1-吡咯烷基)氧基]羧基]-2,6-二甲基苯氧基]炭基]-10-甲基叶啶硫酸甲酯盐
外观∶黄色固体或粉末
纯度:≥98%
分子量:594.13
分子式C29H26N2010S
存储条件:-20℃,避光
运输条件∶室温
化学结构︰

吖啶酯( Me-DMAE-NHS)
英文名称:2,6'-Dimethylcarbonylphenyl 10-Methyl-9-acridinecarboxylate 4'-NHS Ester Triflate
CAS:无 (115853-74-2,DMAE-NHS类似物)]
中文名称:
2',6'-二甲基炭基苯基10-甲基-9-听啶甲酸酯4'-NHS酯三氟甲基磺酸盐
外观:黄色固体或粉末
纯度:≥98%
分子量:632.56
分子式C29H23F3N209S
存储条件:-20°℃,避光
运输条件∶室温
化学结构∶

吖啶酯( NSP-DMAE-NHS)
英文名称:
2,6'-DiMethyicarbonylphenyl-10-sulfopropylacridinium-9-carboxylate 4'-NHSEster
CAS : 194357-64-7
中文名称:9-[4-[l ( 2,5-二氧代-1-吡咯烷基)氧基]费基]-2,6-二甲基苯氧基]粪基]-10-( 3-磺基丙基)-叶啶内盐
外观:黄色固体或粉末
纯度:≥98%
分子量:590.6
分子式:C30H26N209S
存储条件:-20°℃,避光
运输条件∶室温
化学结构:

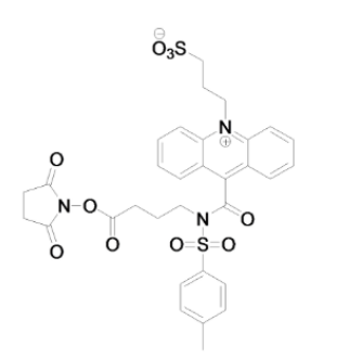
叶啶盐( NSP-SA )
英文名称:3-[9- ( ( ( 3- ( carboxypropyl ) [4-methxylphenylJsulfonyl ) amine ) carboxyl]-10-acridiniumyl ) -1-propanesulfonateinnersalt
CAS : 211106-69-0]
中文名称:吓啶盐( NSP-SA)
外观:黄色固体或粉末
纯度:≥98%
分子量:584.66
分子式C28H28N2O8S2
存储条件:-20°℃,避光
运输条件∶室温
化学结构:

吖啶盐( NSP-SA-NHS)
英文名称:3-[9- ( ( ( 3-( N-succinimidyloxycarboxypropyl) [4-methxylphenylJsulfonyl ) amine ) carboxyl]-10-acridiniumyl )-1-propanesulfonateinner salt
CAS : 199293-83-9
外观∶黄色固体或粉末
纯度:≥98%
分子量:681.73
分子式:C32H31N3O10S2
存储条件:-20°℃,避光
运输条件∶室温
化学结构︰

叶啶酰胁(NSP-SA-ADH )
外观:黄色固体或粉末
纯度∶≥98%
分子量∶740.85
分子式:C34H40N609S2
存储条件:-20°℃,避光
运输条件:室温
化学结构∶

西安齐岳生物科技有限公司有自己的独立有机合成实验室,可以生产合成各种化学发光试剂,我们可以提供的产品有化学发光试剂、化学发光底物、发光标记物、发光增强剂、染料探针类、微生物和酶的显色底物以及体外诊断试剂。
相关列表
鲁米诺/3-氨基苯二甲酰肼/发光氨
异鲁米诺/4-氨基邻苯二甲酰肼
吖啶酯DMAE-NHS
吖啶酰肼NSP-SA-ADH
吖啶酯ME-DMAE-NHS
TOOS/N-乙基-N-(2-羟基-3-磺丙基)-3-甲基苯胺钠盐
MAOS/N-乙基-N-(2-羟基-3-磺丙基)-3,5-二甲基苯胺钠盐
ADOS/N-乙基-N-(2-羟基-3-磺丙基l)-3-甲氧基苯胺钠盐
TOPS /N-乙基-N-(3-磺丙基)-3-甲基苯胺钠盐
ADPS/N-乙基-N-(3-磺丙基)-3-甲氧基苯胺钠盐
ALPS/N-乙基-N-(3-磺丙基)苯胺钠盐
DAOS/N-乙基-N-(2-羟基-3-磺丙基)-3,5-二甲氧基苯胺钠盐
HDAOS/N-(2-羟基-3-磺丙基)-3,5-二甲氧基苯胺钠盐
MADB/N,N-二(4-磺丁基)-3,5-二甲基苯胺钠盐
三(羟甲基)氨基甲烷盐酸盐Tris-HCL
三(羟甲基)氨基甲烷Tris
N,N-二羟乙基甘氨酸BICINE
3-(环己胺)-1-丙磺酸CAPS
3-吗啉丙磺酸MOPS
N-三(羟甲基)甲基-3-氨基丙磺酸TAPS
N-(2-羟乙基)哌嗪-N'-3-丙磺酸 EPPS
3-(N-吗啉基)-2-羟基丙磺酸MOPSO
4-羟乙基哌嗪乙磺酸HEPES
哌嗪-N,N'-二(2-乙磺酸)PIPES
磷酸烯醇丙酮酸三(环已胺)盐PEP
病毒保存液
肝素锂
乙二胺四乙酸二钾/EDTA二钾
血清分离胶/血液分离胶
肝素抗凝剂
乙二胺四乙酸三钾/EDTA三钾
血液促凝剂
**促凝粉
**硅化剂
水溶性硅化剂
草酸钾
钙离子螫合抗凝剂
弱效抗凝剂
吖啶酯己二酰阱NSP-DMAE-ADH
吖啶酯-T4结合物
吖啶酯-T3结合物
吖啶磺酰胺盐-N-乙胺基马来酰亚胺
吖啶磺酰胺盐-T4结合物
吖啶磺酰胺盐-T3结合物
生物素-T4结合物
化学发光分析试剂及标记物
生物素-T3结合物
生物素-NHS活性酯35013-72-0
吖啶磺酰胺NSP-SA-ADH
吖啶酯NSP-DMOAE-NHS
吖啶酯NSP-DMOAE-PEG-GT-NHS
Cy3-NHS酯146368-16-3
Cy7-NHS酯
5-羧基荧光素-NHS酯92557-80-7
6-羧基荧光素-NHS酯92557-81-8
5(6)-羧基荧光素-NHS酯117548-22-8
6-羧基荧光素3301-79-9
酚磺酞DIDNTB
丹磺酰氯605-65-2
异鲁米诺ABEI-DSC
光泽精2315-97-1
以上内容来自齐岳小编zzj 2021.5.17




齐岳微信公众号
官方微信
库存查询