西安齐岳生物科技有限公司经营的产品种类包括有:合成磷脂、高分子聚乙二醇衍生物、嵌段共聚物、磁性纳米颗粒、纳米金及纳米金棒、近红外荧光染料、活性荧光染料、物、蛋白交联剂、小分子PEG衍生物、点计化学产品、树枝状聚合物、环糊精衍生物、大环配体类、荧光量子点、透明质酸衍生物、石墨烯或氧化石墨烯、碳纳米管、富勒烯,二氧化硅及介孔二氧化硅,聚合物微球,近红外荧光染料,聚苯乙烯微球,上转换纳米发光颗粒,MRI核磁造影产品,荧光蛋白及荧光探针等等。
英文名:DOTA-NHS ester
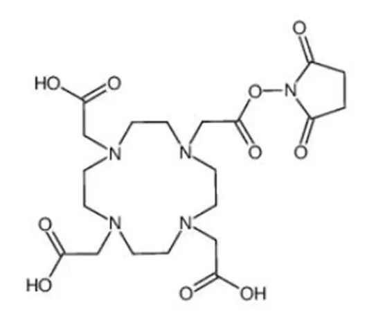
中文名:羟基琥珀酰亚胺-四氮杂环十二烷四乙酸
DOTA单-N-羟基琥珀酰亚胺酯
化学名:1,4,7,10-Tetraazacyclododecane-1,4,7,10-tetraacetic acid mono-N-hydroxysuccinimide ester
CAS号:170908-81-3
分子式:C20H31N5O10·HPF6·CF3CO2H
分子量:761.5
颜 色:白色粉末

双功能配体
Deferoxamine-p-SCN
Deferoxamine-maleimide
DOTA-Biotin-Sarcosine
DOTA-tris(t-Bu ester),CAS Number:137076-54-1
DOTA-mono-NHS-tris(t-Bu ester),CAS Number:819869-77-7
Maleimido-mono-amide-DOTA-tris (t-Bu ester)
Maleimido-mono-amide-DOTA,CAS Number:1006711-09-5
Fmoc-L-Lys-mono-amide-DOTA-tris(t-Bu ester),CAS Number:479081-06-6
2-Aminoethyl-mono-amide-DOTA-tris(t-Bu ester)
Azido-mono-amide-DOTA-tris(t-butyl ester)
DOTA-NHS-ester,CAS Number:170908-81-3
Azido-mono-amide-DOTA,CAS Number:1227407-76-2
DTPA-tetra(t-Bu ester),CAS Number:174267-71-1
Maleimido-mono-amide-DTPA
p-NH2-Bn-PCTA
p-SCN-Bn-PCTA
p-NH2-Bn-oxo-DO3A
p-SCN-Bn-oxo-DO3A
纯度:98%+
产地:西安
用途:仅用于科研
外观:瓶装
供应商:西安齐岳生物科技有限公司




齐岳微信公众号
官方微信
库存查询