产品简介:
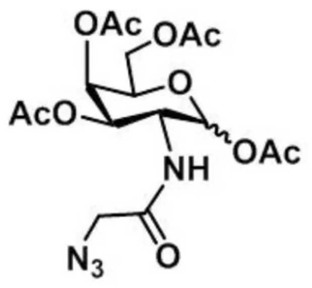
N-叠氮乙酰半乳糖胺四酰化(Ac4GalNAz)提供了一种简单而可靠的两步技术的**部分,该技术有助于识别和表征含有糖蛋白的细胞表面唾液酸。叠氮化物修饰的蛋白质用荧光炔烃或生物素炔烃检测。乙酰基增加了细胞的通透性,使非天然糖容易通过细胞膜。一旦单糖进入细胞,羧酯酶就会去除乙酰基。

英文名称:Ac4GaINAz
N-azidoacetylgalactosamine-tetraacylated
中文名称:叠氮修饰半乳糖
CAS No:653600-56-7
分子式: C16H22N4O10
分子量:430.37
纯 度:≥ 98%
性 状:白色至灰色无定形固体
西安齐岳生物科技有限公司经营的产品种类包括有:合成磷脂、高分子聚乙二醇衍生物、嵌段共聚物、磁性纳米颗粒、纳米金及纳米金棒、近红外荧光染料、活性荧光染料、物、蛋白交联剂、小分子PEG衍生物、点计化学产品、树枝状聚合物、环糊精衍生物、大环配体类、荧光量子点、透明质酸衍生物、石墨烯或氧化石墨烯、碳纳米管、富勒烯,二氧化硅及介孔二氧化硅,聚合物微球,近红外荧光染料,聚苯乙烯微球,上转换纳米发光颗粒,MRI核磁造影产品,荧光蛋白及荧光探针等等。
其他相关试剂:
653600-56-7 叠氮修饰半乳糖,Ac4GaINAz
98924-81-3 N-乙酰葡糖胺叠氮基
935658-93-8 Ac4ManNAl
1658458-26-4 Ac4GlcNAl
66927-03-5 6-叠氮-6-脱氧-D-半乳糖, 6-Azido-6-deoxy-D-galactose, CAS:66927-03-5
20379-59-3 1-叠氮-Beta-D-葡萄糖,1-Azido-1-deoxy-β-D-glucopyranoside, CAS:20379-59-3
13992-25-1 1-叠氮-1-脱氧-β-D-吡喃葡萄糖苷四乙酸酯, CAS: 13992-25-1
69266-16-6 1-脱氧-1-叠氮-b-D-乳糖, 1-Azido-1-deoxy-b-D-lactopyranoside, CAS:69266-16-6
6205-69-2 2-乙酰氨基-三-O-乙酰基-β-D-叠氮基吡喃葡萄糖苷, CAS: 6205-69-2
35899-89-9 1-叠氮-β-D-半乳糖, β-D-Galactopyranosyl azide, CAS:35899-89-9
13992-26-2 O-四乙酰基-1-叠氮-b-D-半乳糖, CAS: 13992-26-2
51642-43-4 1,2,3,4-O-四乙酰基-6-叠氮-6-脱氧-a-D-吡喃葡萄糖,CAS: 51642-43-4
84278-00-2 1,3,4,6-O-四乙酰基-2-叠氮-2-去氧- D-半乳糖, CAS:84278-00-2
67817-30-5 1,3,4,6-O-四乙酰基-2-叠氮-2-去氧- D-半乳糖, CAS:67817-30-5
100842-21-5 1-叠氮a-D-木糖,a-xylopyranosyl azide, CAS:100842-21-5
165331-08-8 2-叠氮乙基-b-D-吡喃葡萄糖苷, CAS:165331-08-8
138892-04-3 1-脱氧-1-叠氮-alpha-D-阿拉伯糖,a-D-Arabinopyranosyl azide,CAS:138892-04-3
29847-23-2 2-乙酰氨基-1-叠氮-Beta-D-葡糖糖, CAS: 29847-23-2
纯度:98%+
产地:西安
用途:仅用于科研
外观:瓶装
供应商:西安齐岳生物科技有限公司




齐岳微信公众号
官方微信
库存查询