3个环状金属元素螯合剂DTPA偶联酰肼衍生物二(乙酰异烟畊)与二(乙酰苯甲酰畊)
发布时间:2023-02-24  作者:zyl  分享到:
二乙三胺五乙酸(DTPA) 是一种重要的环状金属元素合剂,有着能同客体分子匹配的空腔,不同数目的连接段等,具有动力学特性和合适的键合位置及功能基团,是一类重要的主体分子。今天小编分享DTPA 偶联酷耕衍生物,分别有一起看看吧:酷阱衍生物:
二乙三胺一 N,N'-二(乙酷异烟)一-NN',N"一三乙酸
二乙三胺一 N,N-二(酷苯甲酷阱)一NNN一三乙酸
二乙三胺 NN'-二(乙酷对轻基苯甲酷阱)一NNN一三乙酸
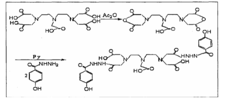
今天以二乙三胺 NN-二(乙酷对轻基苯甲酷)一 NNN一三乙酸的制备为例:

将2mmo1对轻基苯甲酷阱溶于20mIDMF中搅情况下分批加入1mmo1的 DTPAA,持续反应 24h 后,减压蒸去溶剂。加蒸馏水溶解,过滤后减压蒸去水。再加蒸馏水溶解、过滤,减压蒸去大部分水,冷却后滴加乙醇-乙醚混合溶液(体积比 1:2),析出大量沉淀,抽滤后,用水-乙醇-乙醚重结晶,真空干燥后得白色粉末,产率 89.9%。
相关产品:
DTPA-多甘醇-磷酸酯
APTSPP-Dextran-DTPA-Gd 卟啉基-葡聚糖-金属大环配体
DTPA-FeⅢ-H2O2 大环配体-铁-
DTPA-PA 大环配体-二丙胺
EOB-DTPA 乙氧苄基衍生物
DTPA-EOEA 大环配体-二氨基乙基乙二醇醚
DTPA-Gd-EOEA 钆大环配体-二氨基乙基乙二醇醚
SuO-DTPA-PM 单N-羟基琥珀酰亚胺活性酯-大环配体-吡哆胺
厂家:西安齐岳生物科技有限公司
储存时间:1年
保存:冷藏
温馨提醒:仅供科研,不能用于人体实验




齐岳微信公众号
官方微信
库存查询