BDP FL NHS ester是一种用于488 nm通道的**染料,是荧光素的替代品,荧光素是一种与BDP FL NHS ester相同的分子。标记蛋白质和肽的氨基活性染料。
虽然这种分子的吸收光谱和发射光谱保持在FAM激发和发射通道内,但这种染料提供了更好的光稳定性和***亮度。BODIPY-FL的荧光光谱比FAM的荧光光谱窄。当发射波长可以调谐到染料值时,这为基于单色仪的仪器提供了更好的亮度。
该染料是中性的,具有低分子量,并且在共轭物中保持高***产率。该染料是荧光素(FAM)、BODIPY-FL、DyLight 488、Cy2和其他488 nm染料的良好替代品。
西安齐岳生物科技有限公司经营的产品种类包括有:合成磷脂、高分子聚乙二醇衍生物、嵌段共聚物、磁性纳米颗粒、纳米金及纳米金棒、近红外荧光染料、活性荧光染料、物、蛋白交联剂、小分子PEG衍生物、点计化学产品、树枝状聚合物、环糊精衍生物、大环配体类、荧光量子点、透明质酸衍生物、石墨烯或氧化石墨烯、碳纳米管、富勒烯,二氧化硅及介孔二氧化硅,聚合物微球,近红外荧光染料,聚苯乙烯微球,上转换纳米发光颗粒,MRI核磁造影产品,荧光蛋白及荧光探针等等。
英文名称:BDP FL NHS ester
BDP FL NHS
CAS:146616-66-2
外观:橙色固体
质量规格M+增量:274.1
分子量:389.16
分子式:C18H18BF2N3O4
激发/吸收值:503
发射波长:509
荧光产率:0.97
CF260:0.015
CF280:0.027

溶解性:在有机溶剂(DMF、DMSO、二氯甲烷)中有良好的溶解性,在水中有一定的限制
质量控制:核磁共振氢谱、**液相色谱-质谱(95+%)
储存条件:在-20°C的黑暗中接受后12个月。
运输:低温运输,避免长时间暴露在阳光下。
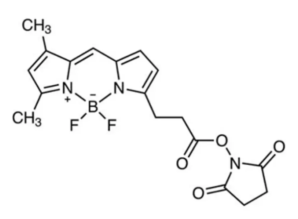
结构式:
146616-66-2
其他产品列表:
Cy3 Azide 2183440-48-2
Cy5 Azide 2183440-50-6
Cy5.5 Azide 2183440-52-8
Cy7 Azide 2183440-54-0
Cy7 hydrazide 2183440-63-1
FAM hydrazide, 5-isomer 2183440-64-2
FAM hydrazide, 6-isomer 2183440-65-3
TAMRA azide, 5-isomer 825651-66-9
TAMRA azide, 6-isomer 1192590-89-8
TAMRA hydrazide, 6-isomer 2183440-67-5
BDP 581/591 azide 2183473-20-1
BDP 630/650 azide 2183473-22-3
BDP R6G azide 2183473-23-4
BDP TMR azide 2183473-25-6
BDP TR azide 2183473-27-8
BDP FL hydrazide 2183473-45-0
BDP 581/591 hydrazide 2183473-40-5
BDP 630/650 hydrazide 2183473-43-8
纯度:98%+
产地:西安
用途:仅用于科研
外观:瓶装
供应商:西安齐岳生物科技有限公司




齐岳微信公众号
官方微信
库存查询