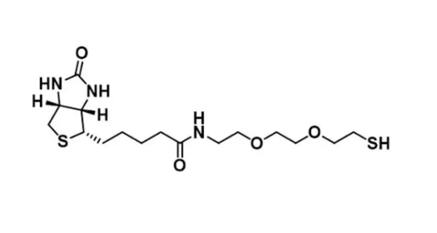
英文名称:Biotin-PEG2-SH,Biotin-PEG2-Thiol
中文名:生物素-二聚乙二醇-巯基
分子式:C16H29N3O4S2
分子量:391.55
纯 度:≥ 95
存储条件:-20°C,避光,避湿

西安齐岳生物科技有限公司经营的产品种类包括有:合成磷脂、高分子聚乙二醇衍生物、嵌段共聚物、磁性纳米颗粒、纳米金及纳米金棒、近红外荧光染料、活性荧光染料、物、蛋白交联剂、小分子PEG衍生物、点计化学产品、树枝状聚合物、环糊精衍生物、大环配体类、荧光量子点、透明质酸衍生物、石墨烯或氧化石墨烯、碳纳米管、富勒烯,二氧化硅及介孔二氧化硅,聚合物微球,近红外荧光染料,聚苯乙烯微球,上转换纳米发光颗粒,MRI核磁造影产品,荧光蛋白及荧光探针等等。
Biotin-PEG2-SH 是一种 PROTAC linker,属于 PEG 类。可用于合成 PROTAC 分子。
应用:应用于医学研究、***释放、纳米技术和新材料研究、细胞培养。在研究配体、多肽合成载体、接枝聚合物化合物、新材料、聚乙二醇改性功能涂料等方面的活性化合物
相关产品:
Biotin-PEG2-CH2CH2N3,CAS号:945633-30-7
Biotin-PEG2-Mal,CAS号:305372-39-8
Biotin-PEG2-C6-azide,CAS号:1011268-29-3
Biotin-PEG2-C4-alkyne,CAS号:1011268-28-2
Biotin-PEG2-acid,CAS号:1365655-89-5
Biotin-PEG2-azide,CAS号:1910803-72-3
Biotin-PEG2-C1-aldehyde,CAS号:2408505-11-1
Biotin-PEG2-C2-iodoacetamide,CAS号:292843-75-5
Biotin-PEG2-NHS ester,CAS号:596820-83-6
Biotin-PEG2-NH-Boc,CAS号:175885-18-4
UV Cleavable Biotin-PEG2-Azide,CAS号:1654739-36-2
UV Cleavable Biotin-PEG2-Azide,CAS号:1192802-98-4
N-(m-PEG4)-N'-(Biotin-PEG2-amido-PEG4)-Cy5,CAS号:2107273-78-7
N-Biotinyl-3,6-Dioxaoctane-1,8-Diamine,CAS号:138529-46-1
Biotin-PEG3-SH,CAS号:1244028-52-1
BIOTIN ETHYLENEDIAMINE,CAS号:216299-38-6
Biotin-PEG1-azide,CAS号:1204085-48-2
纯度:98%+
产地:西安
用途:仅用于科研
外观:瓶装
供应商:西安齐岳生物科技有限公司




齐岳微信公众号
官方微信
库存查询