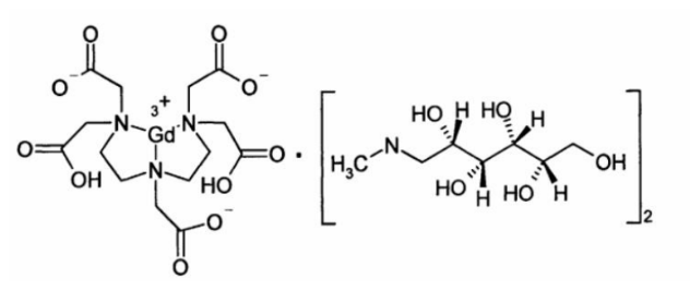
DTPA-Gd-EOEA 钆大环配体-二氨基乙基乙二醇醚
发布时间:2023-02-24  作者:zyl  分享到:
放射性金属核素偶联双功能鳌合剂 DTPA 可以标记抗体、多肽以及生物分子,应用于生物领域,今天小编分享DTPA-Gd-EOEA,一起看看吧:

将 1.52 g 1,4二氨基乙基乙二醇醚(17.2 mmol) 溶解在 0 ml DNSso中,加入 8.1ml千燥的三乙胺,和 6.64g DTPA (18.4mmol)。将此分散液在室温下搅拌 48 小时,得到淡黄色溶液。体系中加人 40mi 乙酸乙酷,有黏稠胶状物析出,将上层清液倾出,并用乙酸乙酷(300m1)洗涤3次。将粗产物在室温下真空抽去溶剂1h,溶于40m水中,加人氯化钊适量,检测显紫红色。溶液用分子量 10000 的透析袋,在二次水中透析 10 次,过滤后将清液冷冻干燥。通过 GPC 测得的分子量为 20000。的含量为 148(W/W)。
西安齐岳生物有限公司可以提供各种大环化合物,包含大环配体、双功能螯合剂、环糊精、聚醚、卟啉、酞菁、磁共振试剂、反应中间体等一系列产品
相关产品:
DTPA-吡哆醇
Gd-DTPA-吡哆醇
DTPA-CNCbl 大环配体-氰钴胺-b-(4-]氨基)
99Tc m DTPA-b-氰钴胺
1B4M-DTPA 1-(4-异硫氰基苄基)-4-甲基-大环配体
DTPA-2SN 大环配体-磺胺
DTPA-MGO 大环配体改性氧化石墨烯
LDH-DTPA 大环配体改性水滑石
poly(HPMA)-SD-APMA-DTPA N-(2-羟丙基)甲基丙烯酰胺-磺胺密啶-N-(3-氨基丙基)甲基丙烯酰胺-大环配体
厂家:西安齐岳生物科技有限公司
储存时间:1年
保存:冷藏
温馨提醒:仅供科研,不能用于人体实验




齐岳微信公众号
官方微信
库存查询