SuO-DTPA-PM 单N-羟基琥珀酰亚胺活性酯-大环配体-吡哆胺
发布时间:2023-02-24  作者:zyl  分享到:
制备 1 个白色金属元素螯合剂修饰 SuO-DTPA-PM 单 N-羟基琥珀酰亚胺活性酯-吡哆胺的方法
金属元素螯合剂 DTPA 有着良好的配位性能,既可与金属阳离子发生配位作用, 又能与带负电 荷 的有机阴离子结 合 ,今天 小编分 享SuO-DTPA-PM,一起看看吧:

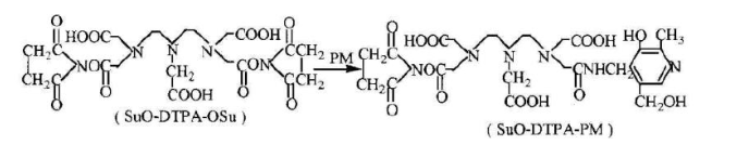
将2.0g(34mmol)DTPA双N-轻基珀酷亚胺活性酷(SuO-DTPA-0Su)溶于30 mL DMF 中,冰盐浴冷却到-15~-20C,ks 搅挫下缓缓滴加0.57g(3.4mmol)毗哆胺(PM)溶于30 mL DMF-H0(v/v,3/5)的溶液低温反应 4 h,室温反应 6 h.然后将反应液慢慢倒入乙醇-乙醚(vw,1/6)的混合溶剂中,即析出沉淀,过滤,抽千,所得白色固体再用 DMF-乙醇/乙酬重沉淀,收集白色固体,真空干燥,得到SuO-DTPA-PM1.74g。
西安齐岳生物有限公司可以提供各种大环化合物,包含大环配体、双功能螯合剂、环糊精、聚醚、卟啉、酞菁、磁共振试剂、反应中间体等一系列产品
相关产品:
DTPA-吡哆醇
Gd-DTPA-吡哆醇
DTPA-CNCbl 大环配体-氰钴胺-b-(4-]氨基)
99Tc m DTPA-b-氰钴胺
1B4M-DTPA 1-(4-异硫氰基苄基)-4-甲基-大环配体
DTPA-2SN 大环配体-磺胺
DTPA-MGO 大环配体改性氧化石墨烯
LDH-DTPA 大环配体改性水滑石
poly(HPMA)-SD-APMA-DTPA N-(2-羟丙基)甲基丙烯酰胺-磺胺密啶
厂家:西安齐岳生物科技有限公司
储存时间:1年
保存:冷藏
温馨提醒:仅供科研,不能用于人体实验




齐岳微信公众号
官方微信
库存查询