DEX-BIOTIN(葡聚糖-生物素)
DEX-BIOTIN 是一种生物素修饰的葡聚糖衍生物,常用于生物素-亲和素结合系统。葡聚糖(Dextran)是一种天然多糖,具有良好的生物相容性和水溶性;通过将其与生物素连接,可用于构建高效的分子识别和靶向载体。该材料广泛用于免疫标记、纳米粒修饰、细胞成像、药物靶向和 ELISA 检测等生物技术领域,能够与链霉亲和素或亲和素共价结合,实现高灵敏度的信号放大或靶向传递。其结构稳定,适用于各种水相条件。
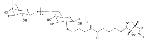
一、简介
名称:DEX-Biotin
中文名称:生物素修饰右旋糖酐
英文别称:Biotinylated Dextran、Dextran-Biotin、Biotin-Dextran Conjugate
常用分子量:3 kDa、10 kDa、40 kDa、70 kDa、150 kDa(视应用需求而定)
分子式:右旋糖酐主链上以共价方式接枝多个生物素分子(结构为重复葡萄糖单元修饰Biotin)
CAS号:无固定,因修饰度不同为研究用化学品
性状:白色粉末
结构式:
3、应用说明:
Biotin-dextran is used in tissue staining to prepare neurons for detection by avidin-conjugated detection systems. It is taken up by neuronal processes and transported bi-directionally. It infiltrates axon boutons in the anterograde direction and dendritic processes in the retrograde direction.[1] Staining can be observed in fixed and sectioned tissue from two days to two weeks after biotin-dextran is injected into the brain or spinal cord. It can also be applied to cut nerve tracts.[2] Biotinylated neurons are detected by either light or electron microscopy following incubation with avidin-horseradish peroxidase conjugate and the electron-dense substrate 3,3′-diaminobenzidine (DAB).
生物素葡聚糖用于组织染色,以制备神经元,供抗生物素蛋白偶联检测系统检测。它被神经元过程吸收并双向运输。顺行方向浸润轴突束,逆行方向浸润树突突起。[1] 在将生物素葡聚糖注射到大脑或脊髓中两天至两周后,在固定和切片的组织中可以观察到染色。它也可以用于切割神经束。[2] 在与抗生物素蛋白-辣根过氧化物酶偶联物和电子致密底物3,3′-二氨基联苯胺(DAB)孵育后,通过光学或电子显微镜检测生物素化神经元。
参考文献:
HOA TON KHA,1 DAVID ISAAC FINKELSTEIN,1 DAVID VAUGHAN POW,2 ANDREW JOHN LAWRENCE,3 AND MALCOM KENNETH HORNE,Study of Projections From the Entopeduncular Nucleus to the Thalamus of the Rat,THE JOURNAL OF COMPARATIVE NEUROLOGY 426:366–377 (2000).
以上资料由小编zhn提供,仅用于科研
关于我们 :
西安齐岳生物科技有限公司是一家专注于生物医药和纳米材料研发、生产与销售的高新技术企业。公司致力于为科研院所、高校以及医药企业提供高品质的生化试剂、功能材料和定制化服务。主要产品涵盖蛋白质/多肽类纳米材料、靶向药物递送系统、脂质体包封材料、PEG修饰载体、荧光探针、量子点等,广泛应用于药物研发、分子影像、细胞标记及诊疗一体化等领域。公司支持定制合成与技术支持服务,满足客户多样化科研需求。
相关产品:
HES-hyd-DOX-Cy5.5-DMMA;2,3-二甲基马来酸酐修饰Cy5.5-腙键偶联HES-阿霉素共轭物
PEG-b-PMPMCg-PTX;双亲性嵌段聚合物聚乙二醇-b-聚2-丙炔基-2-甲基三亚甲基碳酸酯偶联紫杉醇前药
HDAC6 PROTAC前药分子;组蛋白脱乙酰酶6蛋白质特异性响应的PROTAC前药分子
mAb-CD163-PDNPs;CD163单克隆抗体修饰的阿霉素聚合物前药纳米颗粒
硫酸软骨素-DOX前药;PA-CS-hyd-DO
活性氧响应性HET0016前药脂质体(HPLs)
氧化敏感的前药HET-TK-SA;HET0016-酮缩硫醇-硬脂醇
装载CO的金属有机框架TPyP-FeMOFs
线粒体靶向四价铂纳米前药P(Pt-RhB)NPs
P(Pt-RhB)NPs@miR-144-3p;线粒体靶向四价铂纳米前药包载miR-144-3p
TAT-PEG-SN38;细胞穿膜肽修饰的SN38




齐岳微信公众号
官方微信
库存查询