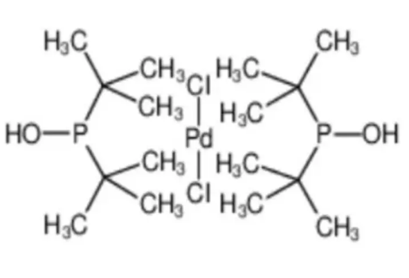
英文名称:POPd
DIHYDROGEN DICHLOROBIS(DI-T-BUTYLPHOSPHINITO-KP)PALLADATE(2-)
英文别名:Palladate(2-),bis[bis(1,1-dimethylethyl)phosphinito-kP]dichloro-, dihydrogen (9CI);
Bis[bis(1,1-dimethylethyl)phosphinous acid-kP]dichloropalladium;POPd
中文名称:二氢二氯二(二-叔丁基亚膦酰-Kp)钯酸(2-)
CAS号:391683-95-7
分子式:C16H38Cl2O2P2Pd
分子量:501.74500

西安齐岳生物科技有限公司经营的产品种类包括有:合成磷脂、高分子聚乙二醇衍生物、嵌段共聚物、磁性纳米颗粒、纳米金及纳米金棒、近红外荧光染料、活性荧光染料、物、蛋白交联剂、小分子PEG衍生物、点计化学产品、树枝状聚合物、环糊精衍生物、大环配体类、荧光量子点、透明质酸衍生物、石墨烯或氧化石墨烯、碳纳米管、富勒烯,二氧化硅及介孔二氧化硅,聚合物微球,近红外荧光染料,聚苯乙烯微球,上转换纳米发光颗粒,MRI核磁造影产品,荧光蛋白及荧光探针等等。
其它膦配体CAS:
1268693-24-8
1246888-90-3
1683581-58-9
1338454-38-8
1373432-13-3
2227217-19-6
2247162-97-4
1884594-03-9
2351219-90-2
2351219-89-9
2415751-83-4
2444702-33-2
2414245-22-8
1884457-40-2
1435940-21-8
纯度:98%+
产地:西安
用途:仅用于科研
外观:瓶装
供应商:西安齐岳生物科技有限公司




齐岳微信公众号
官方微信
库存查询