CY5-Dextran,CY5葡聚糖,Cyanine 5-Dextran的制备技术及其在体内外示踪中的应用
CY5-Dextran 是将荧光染料 Cyanine 5(简称 CY5)共价连接于葡聚糖(Dextran)上的功能性探针,具有良好的水溶性、生物相容性和强烈的远红色荧光信号,广泛用于生命科学领域中的细胞成像、体内渗透示踪、屏障功能分析等研究。
一、基本信息
中文名:CY5-葡聚糖 / CY5 葡聚糖
英文名:CY5-Dextran
别称:远红荧光葡聚糖、Cyanine 5-Dextran、Cy5标记葡聚糖
结构组成:Cyanine 5(CY5)荧光染料共价标记葡聚糖分子
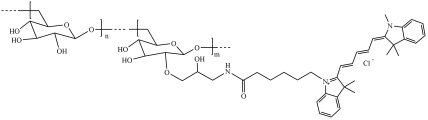
结构式:

二、光学性质
激发波长(λ_ex):约 647 nm
发射波长(λ_em):约 665 nm
荧光颜色:明亮的远红色荧光
荧光量子产率:中等偏高,约 0.28(在水中)
荧光稳定性:较强,优于FITC、CY3,适合长时间成像
CY5 具有较长波长,信号穿透组织深,背景干扰少,适合活体成像和深层组织检测。
三、物化属性
分子量范围:常见规格有 3 kDa、10 kDa、40 kDa、70 kDa、150 kDa 等
外观:紫蓝色至紫红色粉末或冻干块
溶解性:*易溶于水、PBS、HEPES 等缓冲液
化学结构:葡聚糖为中性亲水多糖,CY5 为对称的双吲哚染料
连接方式:通过 NHS 酯或马来酰亚胺形式的 CY5 与氨基化葡聚糖偶联形成稳定共价键
使用注意事项
建议使用无菌去离子水或 PBS 溶解;
避光保存(尤其是溶液状态),防止光漂白;
使用低蛋白结合管和器皿;
分子量影响渗透能力与胞吞效率,应根据实验目标选择;
溶液分装后建议 -20°C 保存,避免多次冻融。
四、主要应用方向
活体血管通透性分析
CY5-Dextran 可通过静脉注射后进行活体荧光成像,用于评估肿瘤新生血管、脑血管、肠道粘膜的屏障功能与渗透性。
细胞吞噬/内吞路径研究
利用 CY5-Dextran 标记吞噬性细胞(如巨噬细胞、树突状细胞),追踪胞吞过程和细胞定位。
组织渗透实验与分子扩散模拟
在体外水凝胶、微流控芯片等系统中使用,用于评估材料渗透性、孔隙率等结构参数。
多色成像系统中的远红通道标记物
与 DAPI(蓝)、FITC(绿)、CY3(橙红)染料联合用于多重标记实验,实现高分辨荧光成像。
肠道屏障功能研究
通过口服或灌胃 CY5-Dextran 并检测血浆或尿液中荧光变化,研究小鼠肠屏障渗漏性。
五、合成方法简述
染料预活化:选用 CY5-NHS 酯或 CY5-maleimide 等活性染料
反应底物制备:葡聚糖可通过氯乙酸或戊二醛等试剂进行氨基化处理
偶联反应:在 pH 8.5 左右缓冲液中进行,共价连接染料和葡聚糖
纯化步骤:透析(如使用 10 kDa 截留膜)去除未反应的游离染料
冻干保存:纯化后的 CY5-Dextran 可冷冻干燥,制得稳定产品
六、优势特点
波长位于远红区,背景干扰少,组织穿透深
信号稳定,适合长时间荧光追踪实验
高亲水性与生物相容性,适用于体内/体外系统
标记灵活,多种分子量可选
可与多种荧光染料协同实现多重成像
七、代表性文献与研究示例
Hoffman RM et al. In vivo tumor vascular imaging using CY5-dextran. Cancer Res. 2019;79(3):874–882.
→ 利用 CY5-Dextran 成像小鼠体内肿瘤血管结构。
Zhou Q et al. Intestinal permeability assay with orally administered CY5-Dextran. J Pharmacol Toxicol Methods. 2021;107:106956.
→ 用于肠道通透性评价,监测染料渗透情况。
Wang Z et al. Real-time tracking of dendritic cell endocytosis with CY5-dextran. ACS Nano. 2020;14(1):980–991.
→ 研究免疫细胞吞噬过程。
Liu Y et al. Hydrogel network diffusion study via CY5-Dextran imaging. Acta Biomater. 2022;141:218–227.
→ 评估水凝胶微孔结构和分子渗透特性。
总结
CY5-Dextran 是一种性能优良的远红荧光高分子探针,凭借其出色的组织穿透能力、信号稳定性和亲水性,被广泛用于组织示踪、血管通透性评估、细胞摄取研究等多个生命科学研究领域。其在多色成像、免疫分析与活体示踪中具有显著价值,是现代生物医学研究中重要的工具之一。
以上资料由齐岳生物小编zhn提供,仅用于科研
关于我们 :
西安齐岳生物科技有限公司是一家专注于生物医药和纳米材料研发、生产与销售的高新技术企业。公司致力于为科研院所、高校以及医药企业提供多样的生化试剂、功能材料和定制化服务。主要产品涵盖蛋白质/多肽类纳米材料、靶向药物递送系统、脂质体包封材料、PEG修饰载体、荧光探针、量子点等,广泛应用于药物研发、分子影像、细胞标记及诊疗一体化等领域。公司支持定制合成与技术支持服务,满足客户多样化科研需求。
相关产品:
甲基丙烯酸酐化明胶/海藻酸钠纳米复合水凝胶 GelMA-Alg-nHA
聚羟基脂肪酸酯/海藻酸钠纳米纤维 P(3HB-co-4HB)-SA
荷载姜黄素的卵白蛋白海藻酸钠纳米凝胶
酰胺接枝的海藻酸钠纳米材料
负载氧化锰纳米颗粒的海藻酸钠纳米凝胶
茶多酚/壳聚糖/海藻酸钠纳米微球
负载硫酸软素的海藻酸钠纳米颗粒
载曲酸壳聚糖/海藻酸钠纳米粒子




齐岳微信公众号
官方微信
库存查询