应用简介:二苯并噻吩(DBCO)PEG-NHS衍生物可以在不需要任何金属催化剂的情况下进行化学反应。菌株促进的环辛炔和叠氮化合物的1,3-偶极环加成反应,也称为无铜点击反应,是一种双正交反应,可使两个分子在水溶液中共轭。DBCO-PEG衍生物在水缓冲液中具有快速动力学和稳定性。DBCO试剂可用于标记叠氮化物修饰的生物分子,无需有毒的铜催化剂。聚乙二醇化可增加肽和蛋白质的溶解性和稳定性,并降低其***原性。它还可以抑制带电分子与修饰表面的非特异性结合。
中文名:二苯基环辛炔PEG琥珀酰亚胺酯,二苯基环辛炔聚乙二醇活性酯
英文名:DBCO-PEG-NHS, Dibenzocyclooctyne-PEG-NHS
分子量:400、600、1K、2K、3.4K、4K、5K、10K
取代率(DBCO):90%以上
取代率(NHS):90%以上
分散系数(PDI):小于等于1.05
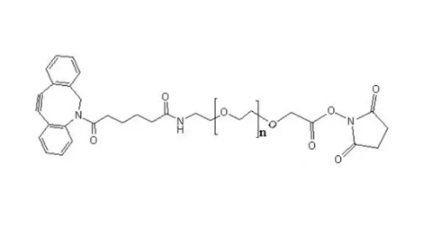
结构式:

DBCO-PEG-NHS
外观:因分子量的不同会出现白色固体或半固体状态
保存条件:零下20℃,避光,干燥。
用途:仅供科研实验使用,不用于诊治
注意事项:取用一定要干燥,避免频繁的溶解和冻干。
反应性:DBCO于含有N3基团的反应。NHS可以和NH2
铜自由点击反应程序:
在反应缓冲液中制备含叠氮化物的试剂。
将DBCO试剂添加到含叠氮化物的试剂中。在丰度试剂的1.5~3.0 mol当量中加入1 mol当量的限制试剂。
在室温下培养反应2~4小时或在40℃下培养2~12小时。
通过透析或尺寸排除色谱仪纯化共轭物。
西安齐岳生物科技有限公司经营的产品种类包括有:合成磷脂、高分子聚乙二醇衍生物、嵌段共聚物、磁性纳米颗粒、纳米金及纳米金棒、近红外荧光染料、活性荧光染料、物、蛋白交联剂、小分子PEG衍生物、点计化学产品、树枝状聚合物、环糊精衍生物、大环配体类、荧光量子点、透明质酸衍生物、石墨烯或氧化石墨烯、碳纳米管、富勒烯,二氧化硅及介孔二氧化硅,聚合物微球,近红外荧光染料,聚苯乙烯微球,上转换纳米发光颗粒,MRI核磁造影产品,荧光蛋白及荧光探针等等。
其他PEG产品:
CY3-PEG-NHS, MW:2000
CY3-PEG-COOH,MW:2000
CY3-PEG-NH2, MW:2000
CY3-PEG-MAL, MW:2000
CY3-PEG-SH, MW:2000
CY3-PEG-Biotin,MW:2000
CY5-PEG-NH2, MW:2000
CY5-PEG-COOH,MW:2000
CY5-PEG-NHS, MW:2000
CY5-PEG-MAL, MW:2000
CY5-PEG-SH, MW:2000
CY5-PEG-Biotin,MW:2000
CY7-PEG-NH2, MW:2000
CY7-PEG-COOH,MW:2000
CY7-PEG-NHS, MW:2000
CY7-PEG-MAL ,MW:2000
CY7-PEG-SH, MW:2000
CY7-PEG-Biotin,MW:2000
纯度:98%+
产地:西安
用途:仅用于科研
外观:瓶装
供应商:西安齐岳生物科技有限公司




齐岳微信公众号
官方微信
库存查询