DBCO-PEG4-NHS Ester,1427004-19-0,二苯基环辛炔-四聚乙二醇-活性酯,能够在中性或稍碱性条件下与伯胺形成共价键
产品简介:DBCO-PEG4-NHS酯是一种含有NHS酯的点击化学PEG试剂,能够在中性或稍碱性条件下与伯胺(例如赖氨酸残基的侧链或氨基硅烷涂层表面)特异**地反应以形成共价键。亲水性PEG间隔臂提高了水溶性,并提供了一个长而灵活的连接,限度地减少了与连接有关的空间障碍。DBCO通常用于无铜点击化学反应。
产品名称:DBCO-PEG4-NHS Ester
中文名称:二苯基环辛炔-四聚乙二醇-活性酯
CAS:1427004-19-0
用途:仅用于科研
分子式:C34H39N3O10
分子量:649.7
纯度:95%
储存:-20℃避光避湿
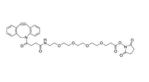
结构式:
西安齐岳生物科技有限公司经营的产品种类包括有:合成磷脂、高分子聚乙二醇衍生物、嵌段共聚物、磁性纳米颗粒、纳米金及纳米金棒、近红外荧光染料、活性荧光染料、物、蛋白交联剂、小分子PEG衍生物、点计化学产品、树枝状聚合物、环糊精衍生物、大环配体类、荧光量子点、透明质酸衍生物、石墨烯或氧化石墨烯、碳纳米管、富勒烯,二氧化硅及介孔二氧化硅,聚合物微球,近红外荧光染料,聚苯乙烯微球,上转换纳米发光颗粒,MRI核磁造影产品,荧光蛋白及荧光探针等等。
其他产品列表:
DBCO-PEG4-NHS ester
CAS号:1427004-19-0
分子式:C34H39N3O10
PC DBCO-PEG4-NHS ester
CAS号:2055025-02-8
分子式:C47H55N5O16
DBCO-NHCO-PEG4-NHS ester
CAS号:2100306-58-7
分子式:C34H39N3O10
DBCO-PEG4-Desthiobiotin
CAS号:2032788-37-5
分子式:C39H53N5O8
纯度:98%+
产地:西安
用途:仅用于科研
外观:瓶装
供应商:西安齐岳生物科技有限公司




齐岳微信公众号
官方微信
库存查询