制备双功能螯合物修饰Cd-DTPA-ALP和DTPA-2NH碱性磷酸酶与双(3,5-二甲氧基-4-氨基二苯乙烯)
发布时间:2023-02-24  作者:zyl  分享到:
DTPA 是一种重要的氨基鳌合剂,可以于活性基团偶联,氨基羧基等,因而在清洗行业有着重要的应用。DTPA 对钙、镁、铁成垢离子有络合或鳌合作用,溶液效果好。

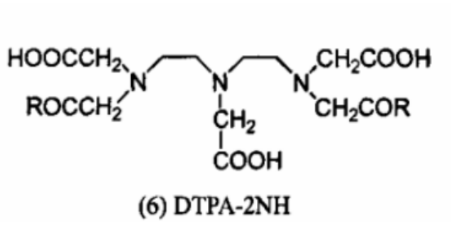
在100mL 三口瓶中加入DTPA 21g(0.053mo1)和 30mL 乙酸酥,通N2室温搅挫下加入 14ml 此呢,升温至 55-60C,反应 24h,冷却,过滤用乙酸酥,无水乙醚,DMF 洗涤,真空干燥,得到白色固体产物(5)16.1g。在100mL 三口瓶中加入(3)2.55g(0.01mo1)和 DMS030mL.搅挫溶解,再加入(4)2.14g(0.00mo1),室温反应 7h。将反应液倾入水中,调 PH=2-3,产生黄色沉淀。过滤,所得固体用 DMF-丙酮重结晶真空干燥,得白色固体产物(6)]3.4g。
相关产品:
Cd-DTPA-OVA 金属大环配体-二喹啉甲酸
99Tcm-DTPA-N-氨基-5,6-二溴去甲基斑蝥素
HPMA-SPD-DTPA N-(2羟丙基)甲基丙烯酰胺-磺胺吡啶-大环配体
APMA-DTPA
DTPA-2NH 大环配体-双(3,5-二甲氧基-4′-氨基二苯乙烯)
177Lu-DTPA-Bz-Cys-RGD dimer 镥核素-大环配体-
P-SCN-Bz-DTPA
BMPPA-DTPA β-甲基-15-苯基十五烷酸-大环配体
sCN-Bz-DTPA 异硫氰基苄基-大环配体
DTPA-2pAS 二乙三胺-N'(双对乙酰氨基水杨酸-N',N″-三乙酸
177 Ln-DTPA-BIS-BIOTIN 核素-大环配体-生物素
厂家:西安齐岳生物科技有限公司
储存时间:1年
保存:冷藏
温馨提醒:仅供科研,不能用于人体实验




齐岳微信公众号
官方微信
库存查询