177 Ln-DTPA-BIS-BIOTIN核素化双功能大环配体修饰生物素
发布时间:2023-02-24     作者:zyl   分享到:
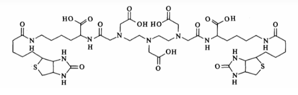
双功能大环配体DTPA,能与生物分子共价连接又能鳌合金属核素,形成一个稳定的核素-鳌合剂-生物分子标记物,今天小编分享177 Ln-DTPA-BIS-BIOTIN,一起看看吧:

在Eppendorf(EP)管中加入15 ,L DTPA-BIS-BIOTIN(1.0 g/L,溶于0.2 mol/L NaOAc-HOAc缓冲溶液,pH=4.5),加人相同醋酸盐缓冲溶液125pL,再加入10 pL 1""'LuCl: (18.4 MBq),混匀,在80 ℃反应8 min,取样进行快速薄层层析法(ITLC)检测分析。
在z标记条件下(DTPA-BIS-BIOTIN 25μg,标记介质pH=4.5,80℃反应20 min),177Lu-DTPA-BIS-BIOTIN标记率大于99.0%,室温下放置96 h,标记物体外稳定性良好。
亲和素(Avidin)是一种糖蛋白,又称抗生物素蛋白或抗生物素,由4个相同的、含128个氨基酸的亚基组成,亚基之间通过二硫键连接,每个亲和素分子可以结合4个生物素(Biotin)分子。
相关内容:
SuO-DTPA-PM 单N-羟基琥珀酰亚胺活性酯-大环配体-吡哆胺
DTPA-吡哆醇
Gd-DTPA-吡哆醇
DTPA-CNCbl 大环配体-氰钴胺-b-(4-]氨基)
99Tc m DTPA-b-氰钴胺
1B4M-DTPA 1-(4-异硫氰基苄基)-4-甲基-大环配体
DTPA-2SN 大环配体-磺胺
DTPA-MGO 大环配体改性氧化石墨烯
LDH-DTPA 大环配体改性水滑石
厂家:西安齐岳生物科技有限公司
储存时间:1年
保存:冷藏
温馨提醒:仅供科研,不能用于人体实验




齐岳微信公众号
官方微信
库存查询