FITC-壳聚糖
中文名:FITC-壳聚糖(荧光素异硫氰酸酯标记壳聚糖)
英文名:FITC-Chitosan(Fluorescein Isothiocyanate–Chitosan Conjugate)
CAS号:无统一CAS号(组分为FITC:3326-32-7,壳聚糖:9012-76-4)
介绍名:荧光素标记壳聚糖;FITC-壳聚糖探针
发射波长:约 519 nm(激发波长约 495 nm)
一、材料概述
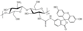
FITC-壳聚糖是以壳聚糖(Chitosan)为骨架,通过共价结合荧光素异硫氰酸酯(FITC)形成的绿色聚合物复合材料。壳聚糖是一种天然阳离子多糖,由几丁质脱乙酰化制得,具有良好的生物相容性、生物可降解性和膜形成能力。而 FITC 是一种绿色荧光染料,其异硫氰酸基团(–N=C=S)可以与壳聚糖分子上的氨基(–NH2)反应,形成稳定的共价键,从而赋予壳聚糖荧光成像能力。
二、光谱特性
激发波长(Ex):约 495 nm
发射波长(Em):约 519 nm
荧光颜色:绿色
荧光性质:强烈明亮的绿色荧光,适用于可见光激发荧光观察
三、主要应用领域
细胞摄取与靶向追踪研究
FITC-壳聚糖可作为示踪载体,用于观察壳聚糖纳米粒、微球、凝胶、膜等在细胞或体内的分布行为,适用于细胞摄取实验、药物递送系统的细胞内运输研究等。
药物递送系统
将FITC-壳聚糖用于构建纳米药物载体,可实现药物投递路径的可视化跟踪,特别是在口服、局部或靶向给药系统中。
组织工程与生物成像
在构建组织工程支架、可降解膜、凝胶材料时,引入FITC标记的壳聚糖,可使其具有荧光可视特性,便于在体内外追踪其降解、分布或组织结合情况。
流式细胞术与共聚焦显微镜分析
FITC-壳聚糖常被用于标记细胞或载体,通过流式细胞仪分析其进入率与表达效率,也可用于激光共聚焦显微镜进行空间分布研究。
黏附性与生物相互作用研究
利用其阳离子特性与能力,FITC-壳聚糖常被用于研究其与细胞膜、胞外基质、DNA 或蛋白质的相互作用机制。
四、特点与优势
生物安全性高:壳聚糖本身无毒、可生物降解、来源广泛;
荧光稳定性好:FITC荧光信号明亮,便于可视化;
功能多样:既可作为载体材料,也具备显色示踪功能;
易于修饰:壳聚糖分子含有多个氨基,可进一步接枝靶向配体、药物或其他功能基团;
适合多平台检测:包括荧光显微镜、共聚焦显微镜、荧光光谱仪、流式细胞仪等;
五、典型制备方法(简述)
将FITC溶解于少量乙醇或DMSO中;
将壳聚糖溶解于弱酸溶液(如醋酸缓冲液)中;
在避光、搅拌条件下,缓慢将FITC溶液加入壳聚糖溶液;
反应数小时后,通过透析去除游离FITC;
冷冻干燥后得到FITC标记的壳聚糖固体粉末。
六、注意事项
FITC在光照下容易降解,应避光保存;
壳聚糖在不同pH条件下溶解性不同,标记过程中需控制pH(通常在pH 4.5–6.0之间);
不同标记度(FITC:壳聚糖比例)影响其荧光强度及生物性能,应根据用途优化比例;
保存方式建议为避光冷冻干燥保存于 –20°C 条件下。
七、总结
FITC-壳聚糖是一种兼具天然生物材料优势与荧光示踪能力的功能性高分子复合物,特别适用于生物医学领域中的细胞成像、药物递送、组织工程与生物相互作用研究。它将壳聚糖的优良生物性能与FITC的绿色荧光优势有机结合,为生物材料可视化提供了一种便捷而实用的工具。随着精准医学和智能药物递送的发展,FITC-壳聚糖在荧光成像与靶向诊疗结合领域具有广阔应用前景。
关于我们:
西安齐岳生物科技有限公司提供荧光染料及产品的研发与供应,产品涵盖FITC、CY系列、罗丹明、ICG等常用荧光染料。公司同时提供的药物、蛋白质、氨基酸、磷脂、纳米颗粒及脂质体等多种生物材料,广泛应用于生命科学、药物研发和生物成像等领域。齐岳生物具备定制化标记服务能力,能够满足科研客户对不同荧光性能和生物功能的多样化需求,为科研和精准医学提供可靠保障。
我们提供以及同系列:
Fitc-壳六糖,FITC-Chitohexaose
荧光素标记过氧化氢酶,FITC-Catalase
FITC-PBA,FITC-Phenylboronic acid,Fitc-苯硼酸
FITC--Rifampicin,FITC-利福平
CY3-Rifampicin,Cy3-利福平
CY3-Ciprofloxacin,Cy3-环丙沙星
CY3-Linoleic acid,Cy3-亚油酸
CY3-Decanoic acid,Cy3-羊蜡酸
以上资料由小编zhn提供,仅用于科研




齐岳微信公众号
官方微信
库存查询