sulfadimethoxine-PEG-DOPE 磺胺地索辛-聚乙二醇-二油酰基磷脂酰乙醇胺 DOPE-PEG-磺胺地索辛
中文名称:磺胺地索辛-聚乙二醇-二油酰基磷脂酰乙醇胺
英文名称:sulfadimethoxine-PEG-DOPE
纯度:95%+
存储条件:-20°C,避光,避湿
外观:固体或粘性液体,取决于分子量
PEG分子量可选:350、550、750、1k、2k、34k、5k
包装:瓶装/袋装
溶解性:溶于大部分有机溶剂,如:DCM、DMF、DMSO、THF等等。在水中有很好的溶解性
注意事项:取用一定要干燥,避免频繁的溶解和冻干
西安齐岳生物还可以提供PEG接枝修饰磺胺地索辛,磺胺地索辛-聚乙二醇-二油酰基磷脂酰乙醇胺,DOPE-PEG-sulfadimethoxine,二油酰基磷脂酰乙醇胺-PEG-磺胺地索辛
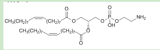
二油酰基磷脂酰乙醇胺DOPE结构式

相关产品:
磺胺地索辛-聚乙二醇-RVG29肽 sulfadimethoxine-PEG-RVG29
磺胺地索辛-聚乙二醇-YIGSR肽 sulfadimethoxine-PEG-YIGSR
磺胺地索辛-聚乙二醇-WSW肽 sulfadimethoxine-PEG-WSW
磺胺地索辛-聚乙二醇-CGEMGWVRC肽 sulfadimethoxine-PEG-CGEMGWVRC
磺胺地索辛-聚乙二醇-RVG29肽 sulfadimethoxine-PEG-RVG29
磺胺地索辛-聚乙二醇-MMPs肽 sulfadimethoxine-PEG-MMPs
磺胺地索辛-聚乙二醇-NGR肽 sulfadimethoxine-PEG-NGR
用途:科研
储存时间:1年
地址:西安
厂家:西安齐岳生物科技有限公司
以上资料来自小编axc,2023.02.27
以上文中提到的产品仅用于科研,不能用于人体。




齐岳微信公众号
官方微信
库存查询