英文名 Bis-sulfone-PEG4-DBCO
CAS号 1854034-70-0
分子量 1006.19
沸点 N/A
分子式 C54H59N3O12S2
熔点 N/A

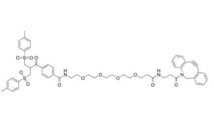
化学结构与性质
Bis-sulfone-PEG₄-DBCO 是一种含有二苯基磺酰基(-SO₂Ph)和二苯基氰基硼烷(DBCO)基团的聚乙二醇(PEG)衍生物。其分子结构中,PEG₄部分赋予了该化合物良好的水溶性和生物相容性,而二苯基磺酰基和 DBCO 基团则赋予了该化合物多种反应活性。DBCO 基团可以与含有炔基的分子发生点击化学反应,形成稳定的三唑环结构。
应用领域
生物医学研究:Bis-sulfone-PEG₄-DBCO 可以用于生物分子的标记和修饰。例如,它可以与生物分子上的炔基修饰基团发生点击化学反应,形成稳定的三唑环结构,从而实现对生物分子的标记。这种标记方法可用于研究生物分子的结构、功能和相互作用。
药物开发:Bis-sulfone-PEG₄-DBCO 可用于药物开发中的生物传感器构建。通过与药物分子或药物载体结合,可以实现对药物的,从而追踪药物在体内的分布和代谢过程。
:在领域,Bis-sulfone-PEG₄-DBCO 可用于合成具有特定功能的聚合物材料。通过将该化合物嵌入聚合物链中,可以制备出具有功能的聚合物。这种聚合物可用于生物医学材料、光学材料等方面。
相关推荐:
2250216-96-5,二苯并环辛炔-PEG2-氨基
DBCO-PEG9-NH2,2353409-99-9
DBCO-PEG8-NH2,DBCO-PEG8-Amine
DBCO-PEG12-OH,二苯并环辛炔-十二聚乙二醇-羟基
DBCO-PEG3-amine,2093409-57-3
DBCO-PEG4-NH2,1840886-10-3
181934-09-8,吲哚菁绿羧酸




齐岳微信公众号
官方微信
库存查询