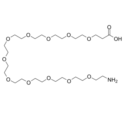
英文名 Amino-PEG11-acid
CAS号 1616426-12-0
分子量 573.67
密度 N/A
沸点 N/A
分子式 C25H51NO13
熔点 N/A

化学结构与性质
Amino-PEG11-acid是一种含有聚乙二醇(PEG)链、氨基(-NH₂)和羧基(-COOH)的化合物。PEG链赋予了该化合物良好的水溶性和生物相容性,而氨基和羧基则提供了多种反应活性。氨基可以与羧基发生酰胺化反应,羧基可以与氨基发生酯化反应。
应用领域
生物分子修饰:Amino-PEG11-acid可用于生物分子的修饰和标记。例如,其氨基可以与生物分子上的羧基发生酰胺化反应,形成稳定的共价键,从而实现对生物分子的修饰。这种修饰方法可用于研究生物分子的结构、功能和相互作用。
药物开发:在药物开发中,Amino-PEG11-acid可用于合成具有特定功能的药物载体。通过将该化合物嵌入药物载体中,可以制备出具有水溶性和生物相容性的药物载体。这种药物载体可用于提高药物的溶解度和稳定性,从而提高药物的疗效。
表面修饰:Amino-PEG11-acid可用于表面修饰。例如,在纳米材料表面修饰中,其氨基可以与纳米材料表面的羧基发生酰胺化反应,形成稳定的表面修饰层,从而改善纳米材料的分散性和生物相容性。
相关推荐:
N3 ICG,吲哚菁绿-叠氮
51951-05-4,Hydroxy PEG3 CH2COOH
361189-64-2,丙酸叔丁酯-六聚乙二醇
1334177-84-2,羟基-PEG8-叔丁酯
778596-26-2,HO-PEG10-tBu
181934-09-8,ICG-COOH
ICG NHS ester,1622335-40-3
850312-72-0,Fmoc-N-酰胺-PEG15-酸
1314378-14-7,Fmoc PEG4 NHS
Alkyne FAM-5,510758-19-7




齐岳微信公众号
官方微信
库存查询