DSPE-PEG2K-CREKA
DSPE-PEG₂K-CREKA:靶向肿瘤血管纤维蛋白的脂质修饰构建单元
一、产品基本信息
产品名称:DSPE-PEG₂K-CREKA
中文名称:CREKA 修饰磷脂-聚乙二醇共聚物
英文名称:1,2-Distearoyl-sn-glycero-3-phosphoethanolamine-N-[poly(ethylene glycol)-2000]-CREKA
简称:DSPE-PEG₂K-CREKA
产品形态:白色或类白色冻干粉末
分子量:约 3000–3500 Da(具体视肽段连接方式与纯度略有浮动)
溶解性:易溶于水、PBS、DMSO、乙醇等极性溶剂
保存条件:-20℃,避光,密封干燥保存
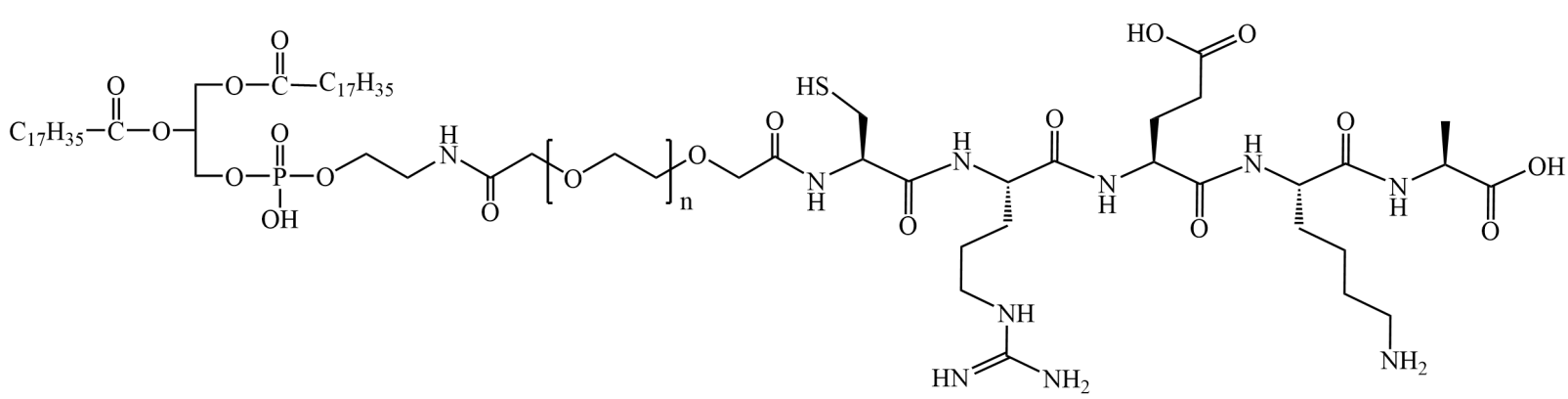
二、结构组成与功能简述
DSPE-PEG₂K-CREKA 是一种功能化脂质聚合物材料,由三部分组成:
DSPE(1,2-Distearoyl-sn-glycero-3-phosphoethanolamine)
一种常用的磷脂分子,含有两个 C18 饱和脂肪酸链
可插入脂质体、胶束、纳米粒等结构中,提供疏水支撑和膜锚定能力
PEG₂K(聚乙二醇)
分子量 2000 Da,亲水性良好
可增强纳米颗粒在体内的稳定性和循环时间,减少 RES(网状内皮系统)清除
为肽段提供柔性间隔臂,保证其暴露于颗粒表面、增强功能活性
CREKA 肽段(Cys-Arg-Glu-Lys-Ala)
一种广泛用于肿瘤血管靶向的小分子五肽
特异性识别并结合纤维蛋白(Fibrin)沉积,是肿瘤新生血管和肿瘤基质的重要标志
有助于实现肿瘤部位的靶向递送与蓄积
三、CREKA 的靶向特性与机制
靶点:纤维蛋白(Fibrin)/纤维粘连蛋白(Fibronectin)网络
发现方式:通过噬菌体肽库筛选获得
靶向机制:
在肿瘤微环境中,由于新生血管通透性高,血管壁破损导致纤维蛋白沉积
CREKA 可选择性结合沉积的纤维蛋白,并在其周围聚集
实现了主动靶向肿瘤血管或肿瘤基质,提高药物/纳米载体的定位效率
与 EPR 效应协同作用,增强肿瘤治疗效果
应用优势:
尺寸小、免疫原性低、穿透性强
可搭载于纳米药物、荧光成像探针、诊疗一体化系统
可用于多种实体瘤(乳腺癌、黑色素瘤、肺癌、脑瘤等)
四、产品特性
特性 描述
靶向功能 CREKA 特异识别肿瘤血管沉积的纤维蛋白
纳米材料亲和性 DSPE 部分可稳定插入脂质体/胶束等载体
生物相容性 PEG 覆盖表面,降低免疫识别与清除
通用性 可与多种药物、核酸、探针等协同使用
易于修饰 CREKA 可通过 Cys 残基与马来酰亚胺、NHS 等链接修饰
可视化能力 支持与荧光染料共修饰进行体内成像
五、主要应用方向
1. 肿瘤靶向药物递送系统(TDDs)
DSPE-PEG₂K-CREKA 可用于构建具有肿瘤血管靶向能力的脂质体、聚合物胶束或纳米粒子:
运载药物如:紫杉醇、多柔比星、顺铂、盐酸伊立替康等
促进药物在肿瘤部位聚集,提高治疗选择性
减少药物在正常组织中的毒副作用
2. 肿瘤成像与诊断
与荧光染料(如 Cy5.5、ICG)、MRI 探针或放射性标记物(如 ^64Cu)偶联:
实现纤维蛋白富集部位的成像
用于肿瘤可视化定位与术中导航
亦可用于血栓成像相关研究
3. 肿瘤穿透性增强(配合穿透肽)
与 iRGD 或 TAT 等穿透肽共修饰,有助于肿瘤深层递送:
CREKA 实现定位
穿透肽辅助进入肿瘤深部或细胞内
构建多功能纳米递送平台
4. 肿瘤治疗联合策略
与化疗、光热疗、光动力疗联合
应用于多模态诊疗系统构建(如化学 + 成像 + 靶向)
六、理化性质与质控指标
项目 参数
肽段纯度 ≥95%,HPLC 检测
DSPE-PEG 纯度 ≥98%,NMR/MALDI-TOF 验证
共价连接方式 Cys-Mal 或 NHS-肽共价连接,稳定性好
溶解性 良好溶于水、PBS、DMSO、乙醇等
外观 白色或类白色粉末或冻干物
储存 -20℃密封干燥保存,避光避潮
保质期 ≥12个月(冷冻干燥状态)
七、推荐使用方法
应用 方法建议
脂质体修饰 与DSPC、Chol共溶,薄膜法成脂质体后超声或挤出制备
胶束或纳米粒表面修饰 后修饰方式:将CREKA-PEG-DSPE包埋或吸附至粒子表面
配比 推荐在总脂质中占1~5%摩尔比例,需优化
成像应用 可共修饰或磁共振对比剂等分子
八、参考文献支持
Simberg D. et al. Proc Natl Acad Sci U S A. 2007
"Targeting tumor vasculature with homing peptides from phage display"
CREKA肽首次报道,并在小鼠肿瘤模型中显著聚集于肿瘤血管周围
Liu D. et al. Biomaterials, 2011
"Tumor vasculature targeting and imaging with functionalized nanoparticles"
Chen Y. et al. ACS Nano, 2016
"CREKA-modified nanoparticles enhance tumor targeting and therapeutic efficacy in breast cancer models"
Zhang X. et al. Theranostics, 2019
"Multifunctional nanoparticles modified with CREKA peptide for targeted drug delivery and multimodal imaging"
九、产品订购信息(西安齐岳生物)
产品规格 货号 备注
1 mg QYZ-DSPE-PEG2K-CREKA-1 标准包装,适用于初步实验
5 mg QYZ-DSPE-PEG2K-CREKA-5 常规应用推荐量
10 mg QYZ-DSPE-PEG2K-CREKA-10 适用于动物实验或中试放大
定制服务 可提供不同肽段长度、PEG分子量(1K~5K)、染料标记等个性化服务
十、总结
DSPE-PEG₂K-CREKA 是一种集成磷脂锚定、PEG隐形与CREKA肿瘤靶向功能的高性能材料,适用于多种纳米药物系统的构建。其在肿瘤血管靶向、成像诊断、药物递送等方向具有广泛应用价值。通过与小分子药物、核酸类药物、蛋白类活性物质及荧光探针等结合,能够有效提升治疗效率并实现精准医学转化。
如需获取 DSPE-PEG-CREKA 的定制服务、批量采购或技术支持,欢迎联系西安齐岳生物获取更多资料与方案建议。
西安齐岳生物科技有限公司专注于高品质聚乙二醇(PEG)及其衍生物的研发与生产,提供涵盖线性PEG、支化PEG、多官能团PEG、嵌段共聚物PEG等在内的多种基础结构产品,广泛应用于生物医药、诊断试剂、纳米材料及化学合成等领域。公司具备灵活的定制能力,可根据客户需求提供特定分子量(200–20,000 Da)、官能团(如-NH₂、-COOH、-SH、-N₃、-Biotin、等)以及不同结构的PEG修饰服务。凭借先进的合成平台与严格的质量控制体系,齐岳生物致力于为科研、药物开发和材料应用提供可靠、稳定、可追溯的PEG解决方案,支持客户实现从实验室研究到产业转化的各类需求。
厂家:西安齐岳生物科技有限公司
用途:科研
状态:固体/粉末/溶液
产地:西安
温馨提醒:仅供科研,不能用于人体实验!
相关产品:
DSPE-PEG2K-cRGDfK
DSPE-PEG2K-cRGDyK
DSPE-PEG2K-cRGDfC
DSPE-PEG2K-T7(HAIYPRH)
DSPE-PEG2K-Octreotide
DSPE-PEG2K-APRPG
DSPE-PEG2K-YIGSR
DSPE-PEG2K-NGR
DSPE-PEG2K-NGR(c(GGCNGRC))
DSPE-PEG2k-THRPPMWSPVWP
DSPE-PEG2K-FSHB




齐岳微信公众号
官方微信
库存查询