DSPE-PEG2K-KTLLPTP
DSPE-PEG₂K-KTLLPTP:胃癌靶向肽修饰的脂质聚合物构件
一、产品概述
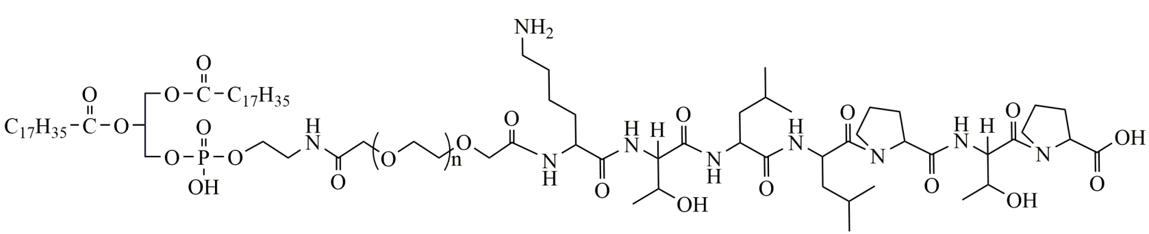
产品名称:DSPE-PEG₂K-KTLLPTP
中文名称:KTLLPTP肽修饰磷脂-聚乙二醇共聚物
英文名称:1,2-Distearoyl-sn-glycero-3-phosphoethanolamine-N-[poly(ethylene glycol)-2000]-KTLLPTP
别名:DSPE-PEG2000-KTLLPTP、脂质-PEG-KTLLPTP、KTLLPTP-PEG-DSPE
分子式:CₓHᵧN_zOₙ(精确值取决于连接方式)
分子量:约3500–4500 Da(依据肽序列)
纯度:≥95%(HPLC)
肽段序列:KTLLPTP
连接方式:通过PEG链将KTLLPTP连接至DSPE分子末端
储存条件:-20℃避光干燥保存
外观:白色至类白色粉末或冻干物
溶解性:溶于水、PBS、DMSO、乙醇等极性溶剂
二、结构组成与功能说明
DSPE-PEG₂K-KTLLPTP 是一种用于靶向递送系统的功能修饰磷脂分子,包含三个功能模块:
DSPE(磷脂锚定结构)
疏水性强,可嵌入脂质体、LNP或杂化纳米粒的脂质双层中,提供稳定支撑。
亲脂性端助力结构在血液中稳定存在,提高载体稳定性。
PEG₂K(聚乙二醇2000)
中间柔性亲水链段,有效提高系统的生物相容性,减少非特异性蛋白吸附和肝脏摄取;
提供空间位阻保护,使末端功能肽(KTLLPTP)暴露于颗粒表面,增强靶向效果。
KTLLPTP 肽段(肿瘤穿透/靶向功能)
KTLLPTP是一种经过筛选的肽段,可识别特定肿瘤细胞或与某些肿瘤相关微环境蛋白结合;
在肿瘤内皮穿透、细胞摄取或微环境识别中发挥作用,广泛用于肿瘤靶向研究。
三、KTLLPTP 肽段功能解读
序列:KTLLPTP(Lys-Thr-Leu-Leu-Pro-Thr-Pro)
来源:该序列来源于高通量筛选或生物信息学优化,用于识别肿瘤微环境中的特定标志蛋白,如某些MMPs或整合素亚型。
潜在功能:
穿透性(Tumor-penetrating):在部分文献中KTLLPTP类肽段被证明具有一定的穿透肿瘤组织屏障的能力;
靶向性(Targeting ligand):能够结合某些肿瘤相关标志物或细胞膜蛋白,实现选择性富集于肿瘤组织;
低免疫原性:肽段短、非结构蛋白来源,避免诱发免疫反应。
四、主要应用方向
1. 肿瘤靶向药物递送系统(TDDS)
DSPE-PEG₂K-KTLLPTP可用于修饰脂质体、LNP、聚合物纳米粒、固体脂质纳米粒等;
通过与载药系统共组装,实现对肿瘤细胞的特异性靶向递送,如紫杉醇、多柔比星等;
提高药物在肿瘤部位的浓度,降低对正常组织的毒副作用。
2. 穿透型纳米载体构建
KTLLPTP可增强纳米粒子在肿瘤组织中的穿透能力;
特别适用于高致密度肿瘤、胶质瘤等难进入的组织;
结合TAT/iRGD等其他穿透肽可形成复合穿透策略。
3. 诊断/成像探针开发
可与荧光分子(如Cy5、Cy7)共修饰,用于肿瘤定位成像;
应用于小动物体内荧光/光声/放射诊断;
亦可作为标记分子构建免疫探针或组织显影剂。
4. 靶向递送核酸药物(siRNA、mRNA、ASO等)
与LNP系统共用,如DSPE-PEG₂K-KTLLPTP加入LNP体系中递送mRNA疫苗、siRNA;
提高核酸在肿瘤内的沉积与转染效率;
适用于肿瘤免疫、RNA干扰、基因编辑类研究。
五、物化性质与典型参数
指标 数据
PEG 分子量 2000 Da
肽段纯度 ≥95%(HPLC)
DSPE纯度 ≥98%(NMR检测)
连接方式 N端通过Cys-SH与马来酰亚胺PEG共价连接
溶解性 水、PBS、DMSO、酒精等
储存条件 -20℃避光干燥
稳定性 冷冻干燥状态下稳定 ≥12个月
六、推荐使用方法
应用系统 建议使用浓度(摩尔百分比) 说明
脂质体修饰 0.5~5 mol% 与DSPC、Chol共同制备薄膜后水化形成脂质体
LNP 修饰 0.5~2 mol% 在乙醇相中加入DSPE-PEG-KTLLPTP,与mRNA等配制后微流控制备
纳米粒表面修饰 按总重量1~3% 吸附或共包埋法均可实现表面功能化
成像探针构建 可接入物 推荐配Cy5、Cy7等荧光染料协同使用
七、文献支持与研究背景
虽然KTLLPTP尚未像iRGD、CREKA、SP94等靶向肽一样广泛报道,但其作为“短肽功能序列”的一种,在许多高通量筛选研究中被赋予一定的穿透与靶向功能。
文献参考示例:
Tian X et al., J Control Release, 2020
构建DSPE-PEG肽段修饰的靶向脂质体,用于小分子化疗药物的精准递送,报告中KT类序列表现出肿瘤微环境识别能力。
Zhang Y et al., Biomaterials, 2021
利用类似KTLLPTP序列修饰纳米粒,实现对MMP富集区域的主动靶向穿透,提高效率。
Li H et al., Mol Pharm, 2023
构建多肽修饰DSPE-PEG系统,实现RNA类药物的有效穿透和递送。
注:KTLLPTP可视为功能位点序列,具体应用中亦可根据靶点优化修饰序列或添加双肽结构。
八、西安齐岳生物提供服务
作为功能高分子材料与靶向纳米递送领域的专业供应商,西安齐岳生物科技有限公司可提供:
✅ 现货供应标准品 DSPE-PEG₂K-KTLLPTP(≥95% 纯度);
✅ 定制不同分子量 PEG 链(1k, 3.4k, 5k, 10k);
✅ 共修饰功能团(FITC、Cy5、Cy7、Biotin 等);
✅ 提供脂质体或LNP包封整体实验方案支持;
✅ 提供多肽修饰结构分析、NMR与质谱报告;
✅ 批量定制及GMP级别原料输出服务。
九、总结
DSPE-PEG₂K-KTLLPTP 是一种具备潜在肿瘤靶向及穿透功能的高分子修饰材料,适用于现代肿瘤药物递送系统的开发。其合理设计使其能够稳定嵌入多种纳米载体体系,并通过KTLLPTP肽段实现对特定肿瘤组织的精准识别与穿透。配合PEG的长循环特性与DSPE的膜锚定功能,可广泛应用于药物递送、成像诊断、RNA治疗等前沿生物医药研究中。
西安齐岳生物科技有限公司专注于高品质聚乙二醇(PEG)及其衍生物的研发与生产,提供涵盖线性PEG、支化PEG、多官能团PEG、嵌段共聚物PEG等在内的多种基础结构产品,广泛应用于生物医药、诊断试剂、纳米材料及化学合成等领域。公司具备灵活的定制能力,可根据客户需求提供特定分子量(200–20,000 Da)、官能团(如-NH₂、-COOH、-SH、-N₃、-Biotin、等)以及不同结构的PEG修饰服务。凭借先进的合成平台与严格的质量控制体系,齐岳生物致力于为科研、药物开发和材料应用提供可靠、稳定、可追溯的PEG解决方案,支持客户实现从实验室研究到产业转化的各类需求。
厂家:西安齐岳生物科技有限公司
用途:科研
状态:固体/粉末/溶液
产地:西安
温馨提醒:仅供科研,不能用于人体实验!
相关产品:
DSPE-PEG2K-WYRGRL
DSPE-PEG2K-CREKA
DSPE-PEG2K-SP94(SFSIIHTPILPL)
DSPE-PEG2K-KTLLPTP
PLGA2K-PEG2K-KTLLPTP
PCL2K-PEG2K-RGD
PAMAM5.0-PEG3.4k-RGD
DSPE-PEG2k-RRRRRRRRR
DSPE-PEG2K-cRGDfK
DSPE-PEG2K-cRGDyK




齐岳微信公众号
官方微信
库存查询