PLGA2K-PEG2K-KTLLPTP
KTLLPTP修饰的PLGA-PEG共聚物:用于肿瘤靶向纳米药物构建
一、产品概述
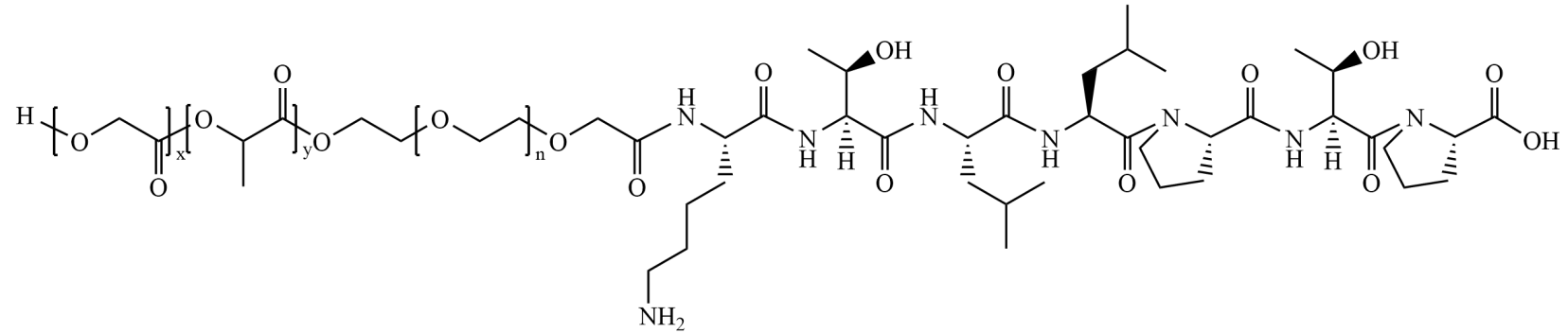
产品名称:PLGA₂K-PEG₂K-KTLLPTP
中文名称:KTLLPTP肽修饰聚乳酸-羟基乙酸共聚物-聚乙二醇
英文名称:Poly(lactic-co-glycolic acid)-block-polyethylene glycol-KTLLPTP
缩写形式:PLGA-PEG-KTLLPTP
组成结构:PLGA₂K-PEG₂K 主链 + KTLLPTP 靶向肽末端修饰
肽序列:KTLLPTP(Lys-Thr-Leu-Leu-Pro-Thr-Pro)
分子量:约4500~5000 Da
纯度:≥95%(HPLC)
外观:白色或类白色固体/冻干粉末
溶解性:可溶于DMSO、DMF、乙腈、乙醇,部分水溶(取决于PLGA比例)
储存条件:-20℃避光干燥保存
CAS号:定制合成,暂无统一注册号
二、结构组成详解
1. PLGA (聚乳酸-羟基乙酸共聚物)
分子量:2000 Da
组成比例:常见为50:50或75:25乳酸/羟基乙酸(可定制)
功能:生物可降解性良好,作为疏水段可形成纳米粒核芯,用于载药。
2. PEG (聚乙二醇)
分子量:2000 Da
功能:亲水链段,赋予分子水溶性、长循环能力,降低载体与血浆蛋白的非特异性结合。
3. KTLLPTP 肽段
一种可靶向肿瘤相关组织或蛋白的短肽序列;
可用于穿透肿瘤组织屏障,提高纳米载体在肿瘤中的富集效率。
三、产品特性与优势
特性 描述
靶向性 KTLLPTP 肽段有助于靶向特定肿瘤微环境或细胞受体,提高递送精准性
控释性 PLGA 可在体内缓慢降解,实现药物的可控释放
亲水性外壳 PEG 提供亲水屏障,降低免疫清除
纳米粒组装能力强 可自组装形成核壳结构,适合包载小分子药物、核酸等
适应多种制剂方式 适用于纳米粒、胶束、水凝胶、注射微球等载药形式
可降解、安全性高 PLGA 与 PEG 均为FDA/EMA批准的生物材料
四、KTLLPTP 肽功能解析
KTLLPTP 是一段具有潜在肿瘤靶向能力的短肽,序列为:
K(Lys):正电荷,增强亲水性和细胞相互作用
TLLPTP:疏水-柔性结构,具备一定穿膜/穿透潜能
研究显示,KTLLPTP 类似序列可识别某些肿瘤特异性分子,如:
肿瘤相关蛋白酶(如MMP)
肿瘤血管受体
ECM降解片段
KTLLPTP肽段适合在高通透性和高灌注压力区域发挥靶向富集能力,适用于实体瘤纳米药物开发。
五、应用方向
1. 肿瘤靶向递药系统(Tumor-Targeted DDS)
自组装成纳米颗粒后可高效包载化疗药物(如多柔比星、紫杉醇);
PEG屏蔽免疫系统,KTLLPTP引导药物靶向肿瘤部位;
有望提升药物的肿瘤内浓度,降低副作用。
2. 穿透型纳米粒开发
KTLLPTP可增强纳米粒在致密肿瘤中的扩散;
适用于脑胶质瘤、胰腺癌等高密度肿瘤组织;
可联合iRGD、TAT等肽段进行双重穿透修饰。
3. 基因递送系统
可用于构建siRNA、miRNA、mRNA递送系统;
PLGA形成保护壳,PEG提供长循环,KTLLPTP实现定位靶向;
适合用于肿瘤基因沉默或CRISPR递送研究。
4. 体内成像/诊断探针载体
搭配荧光探针或MRI/CT造影剂,可构建纳米成像平台;
有助于非侵入式追踪药物分布与靶向效率;
常与Cy5、ICG、Gd等功能基团共修饰使用。
六、技术参数一览
项目 参数
PLGA分子量 2000 Da(可定制)
PEG分子量 2000 Da(可定制)
肽段连接方式 肽段通过氨基连接至PEG末端(可选马来酰亚胺、NHS)
纯度 ≥95%(HPLC)
溶解性 有机溶剂良好,水中部分溶解
储存 -20°C,避光干燥保存,避免潮湿环境
七、纳米粒组装参考方法
自组装法(纳米沉淀):
将 PLGA-PEG-KTLLPTP 溶解于 DMSO;
滴加至水相中并超声分散,形成纳米粒;
去除有机溶剂并浓缩;
可包载药物,如DOX、PTX或荧光染料。
典型配比:
PLGA-PEG-KTLLPTP:5-10 mg/mL
包载DOX比例:药物:聚合物 = 1:5~1:10
纳米粒粒径:80~150 nm(DLS测量)
Zeta电位:-10~+10 mV(依据肽段电荷)
药物包封率:50~85%(视具体药物而定)
八、西安齐岳生物可提供服务
西安齐岳生物可为您提供以下产品与服务支持:
✅ 高纯度 PLGA₂K-PEG₂K-KTLLPTP 标准品现货或定制;
✅ 可根据需求定制PLGA/PEG分子量、乳酸/乙醇酸比例;
✅ 提供多种肽段(如iRGD、CREKA、SP94)共修饰选项;
✅ 提供NMR、MS、HPLC质控报告,确保科研质量;
✅ 提供完整纳米粒构建技术支持,适用于实验与申报。
九、参考文献与研究示例
Zhang Y et al., Adv Drug Deliv Rev, 2021
使用PLGA-PEG肽修饰纳米粒靶向肿瘤组织,实现穿透与控释递药。
Wang J et al., Biomaterials, 2022
构建靶向短肽修饰的PLGA纳米粒系统,提高药物在肿瘤部位的累积。
Li H et al., Mol Pharm, 2023
KT类肽段修饰的聚合物用于mRNA递送,展现出优越的肿瘤组织沉积能力。
十、总结
PLGA₂K-PEG₂K-KTLLPTP 是一款专为靶向肿瘤递药系统设计的功能性嵌段共聚物,结合了可降解性、长循环能力及靶向识别特性,适用于小分子药物、核酸、成像探针等多种递送平台。通过KTLLPTP短肽的精准定位与PLGA-PEG体系的结构稳定性,该材料为肿瘤药物开发提供了有力支持。
西安齐岳生物科技有限公司专注于高品质聚乙二醇(PEG)及其衍生物的研发与生产,提供涵盖线性PEG、支化PEG、多官能团PEG、嵌段共聚物PEG等在内的多种基础结构产品,广泛应用于生物医药、诊断试剂、纳米材料及化学合成等领域。公司具备灵活的定制能力,可根据客户需求提供特定分子量(200–20,000 Da)、官能团(如-NH₂、-COOH、-SH、-N₃、-Biotin、等)以及不同结构的PEG修饰服务。凭借先进的合成平台与严格的质量控制体系,齐岳生物致力于为科研、药物开发和材料应用提供可靠、稳定、可追溯的PEG解决方案,支持客户实现从实验室研究到产业转化的各类需求。
厂家:西安齐岳生物科技有限公司
用途:科研
状态:固体/粉末/溶液
产地:西安
温馨提醒:仅供科研,不能用于人体实验!
相关产品:
DSPE-PEG2K-Octreotide
DSPE-PEG2K-APRPG
DSPE-PEG2K-YIGSR
DSPE-PEG2K-NGR
DSPE-PEG2K-NGR(c(GGCNGRC))
DSPE-PEG2k-THRPPMWSPVWP
DSPE-PEG2K-FSHB
DSPE-PEG2K-GRGDS
DSPE-PEG2K-MMPs(GGGGCTTHWGFTLC)
DSPE-PEG2K-WSWGPYSC




齐岳微信公众号
官方微信
库存查询