DSPE-PEG2k-RRRRRRRRR
DSPE-PEG₂ₖ-R9:九聚精氨酸修饰的细胞穿透型脂质聚合物
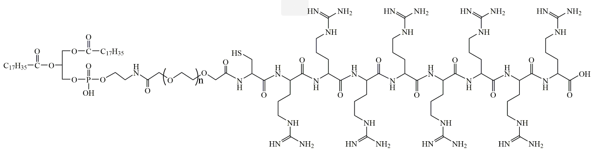
DSPE-PEG₂k-RRRRRRRRR 是一种将膜锚定脂质 DSPE(1,2-Distearoyl-sn-glycero-3-phosphoethanolamine)、柔性亲水聚合物 PEG₂k(聚乙二醇,分子量约2000 Da)与富精氨酸九肽序列(RRRRRRRRR,9R)进行共价连接的功能化两亲分子,常用于靶向递送系统、细胞穿透载体和纳米平台构建中。
一、产品基本信息
产品名称:DSPE-PEG₂k-RRRRRRRRR
中文名称:DSPE-PEG₂k-九聚精氨酸
英文名称:DSPE-PEG₂k-R9 / DSPE-PEG₂k-Poly-Arginine (9-mer)
组成结构:疏水脂质(DSPE) + PEG₂k + R9肽
分子量:约3900~4500 Da
外观:白色或类白色固体粉末
溶解性:可溶于水、PBS、DMSO、DMF等
储存条件:-20°C 避光干燥保存
纯度:>95%(HPLC)
连接方式:PEG与R9通过NHS酯或马来酰亚胺与巯基反应连接,确保稳定共价键结合
二、结构与功能模块解析
模块 功能
DSPE 疏水尾部插入脂质膜或自组装形成脂质体、胶束等结构;提供纳米结构骨架
PEG₂k 增强水溶性、血液循环时间、降低聚集与免疫识别
R9肽(9R) 细胞穿透肽(CPP),通过电荷作用穿越细胞膜,将载荷有效递送至胞内
R9肽是经典的阳离子CPP序列,具有高细胞摄取能力,适用于核酸药物(siRNA、mRNA、DNA)、小分子药物、蛋白质的递送,甚至可穿越部分生理屏障(如BBB、角膜等)。
三、产品优势
细胞摄取效率高
精氨酸残基带正电,与细胞膜负电荷相互作用,通过内吞或直接转运促进细胞摄入。
膜锚定稳定性强
DSPE可插入脂质双层膜或与其他脂质共组装,提高修饰稳定性。
可搭载多种载荷
与脂质体、纳米粒共用,可载药、携带荧光、核酸、蛋白质等。
水溶性好、易于构建纳米结构
PEG链提供良好分散性,有助于构建单分散脂质体、胶束或NPs。
良好的生物相容性与低毒性
四、主要应用方向
1. 核酸药物递送系统
siRNA、mRNA、抗体DNA疫苗等
提高内吞效率并促进胞质释放
可与离子脂质体或阳离子聚合物协同使用
2. 小分子靶向递送
药物包载纳米粒或脂质体表面修饰DSPE-PEG-R9
增加进入特定细胞类型的能力,如肿瘤细胞、免疫细胞
3. 穿膜蛋白或大分子载体
包括CRISPR蛋白、抗体、肽类等
可辅助进入细胞或核内,实现精准治疗
4. 跨越生理屏障
部分文献报道 R9 修饰纳米系统有助于穿越血脑屏障(BBB)、眼角膜、鼻腔屏障等
5. 肿瘤靶向递送
可与EPR效应结合,增强肿瘤部位的富集与细胞摄取
五、技术参数(示意)
参数项目 数值
分子量范围 3.9–4.5 kDa
粒径(组装后) 50–150 nm(与配方有关)
Zeta 电位 正电位(因R9正电荷)
pH 稳定性 适合生理环境(pH 5.5–8.0)
CMC 极低,可稳定形成胶束或纳米粒
细胞内吞速率 快,2小时内大量进入胞质
药物封装效率(脂质体中) >80%(依载药种类调整)
六、可定制选项(由西安齐岳生物提供)
西安齐岳生物可提供以下定制服务:
✅ R9肽长度调节:可替换为R5、R6、R11、TAT等CPP序列
✅ PEG长度可调:PEG₅₀₀,PEG₂k,PEG₅k等
✅ 末端修饰选择:Cy5/FITC,Mal/COOH/NH₂反应活性基团
✅ 支持脂质体构建服务:配合DOPE/Chol/MPEG构建完整平台
✅ 核酸/药物共复合测试服务:支持中试样品/科研数据分析
七、文献支持(部分示例)
Torchilin V. et al., PNAS, 2001
R9修饰纳米粒可快速进入HeLa细胞,载药效率高,显示潜力用于siRNA递送。
Zhang Y. et al., ACS Nano, 2019
DSPE-PEG-R9构建的mRNA脂质纳米粒在肿瘤疫苗中显著提高转染效率。
Chen C. et al., J. Control. Release, 2021
以DSPE-PEG9R为表面修饰,脂质体进入脑胶质瘤效率提升3倍。
八、总结
DSPE-PEG₂k-RRRRRRRRR 是一种功能强大的细胞穿透修饰脂质,可与脂质体、聚合物纳米颗粒、核酸/蛋白载体等平台结合使用,广泛应用于靶向递送、跨膜转运、生物成像、基因治疗等研究领域。通过高密度的阳离子精氨酸序列与PEG柔性链桥连接,既保留生物活性又保证系统稳定性,是当前纳米递送与转染系统研究的重要工具之一。
西安齐岳生物科技有限公司专注于高品质聚乙二醇(PEG)及其衍生物的研发与生产,提供涵盖线性PEG、支化PEG、多官能团PEG、嵌段共聚物PEG等在内的多种基础结构产品,广泛应用于生物医药、诊断试剂、纳米材料及化学合成等领域。公司具备灵活的定制能力,可根据客户需求提供特定分子量(200–20,000 Da)、官能团(如-NH₂、-COOH、-SH、-N₃、-Biotin、等)以及不同结构的PEG修饰服务。凭借先进的合成平台与严格的质量控制体系,齐岳生物致力于为科研、药物开发和材料应用提供可靠、稳定、可追溯的PEG解决方案,支持客户实现从实验室研究到产业转化的各类需求。
厂家:西安齐岳生物科技有限公司
用途:科研
状态:固体/粉末/溶液
产地:西安
温馨提醒:仅供科研,不能用于人体实验!
相关产品:
DSPE-PEG2K-FSHB
DSPE-PEG2K-GRGDS
DSPE-PEG2K-MMPs(GGGGCTTHWGFTLC)
DSPE-PEG2K-WSWGPYSC
DSPE-PEG2K-LyP-1
DSPE-PEG2K-tLyP-1
FITC-Transferrin
TRITC-ConA
DSPE-TK-PEG2K-CREKA
cRGD-PEG2K-NH2
DSPE-PEG2000-MG1




齐岳微信公众号
官方微信
库存查询