DSPE-PEG2000-mal
DSPE-PEG2000-Mal在靶向药物递送系统中的应用探索
产品名称
中文名:DSPE-PEG2000-Mal(马来酰亚胺-聚乙二醇-二硬脂酰磷脂酰乙醇胺)
英文名:DSPE-PEG2000-Maleimide
分子式:C116H224N3O43P
分子量:约2800 Da(PEG链为2000 Da)
CAS号:暂无统一CAS(视具体供应商而定)
外观:白色或类白色粉末,或呈半固态蜡状物
溶解性:溶于DMSO、氯仿、甲醇、乙醇、缓冲液(如PBS)、水等
结构与组成
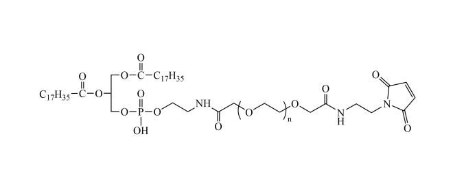
DSPE-PEG2000-Mal 是一种两亲性嵌段共聚物,结构由以下三部分组成:
DSPE(1,2-二硬脂酰-sn-甘油-3-磷脂酰乙醇胺):提供疏水性尾部,可稳定插入脂质体或细胞膜。
PEG2000(聚乙二醇,分子量2000 Da):为亲水性柔性链段,提升水溶性、延长血浆循环时间,减少非特异性吸附。
马来酰亚胺(Mal)基团:位于PEG链末端,具有良好的化学活性,可与含巯基的分子(如半胱氨酸、GSH、巯基修饰的抗体、肽、蛋白质)发生特异性共价连接(Michael加成反应)。
该材料通过精确的分子设计,使得其兼具膜锚定性、生物相容性及可功能化三重优势。
理化性质
性质 参数
分子量 PEG段为2000 Da,总约2800 Da
亲水/疏水性 两亲性
活性基团 马来酰亚胺基(Maleimide)
水溶性 良好
生物相容性 优秀
解聚温度(Tm) 高于37°C时有良好膜插入能力
pH稳定范围 pH 6.5–7.5适用于马来酰亚胺-巯基偶联
功能与优势
靶向修饰:Mal基团可与巯基反应,使DSPE-PEG2000-Mal成为优选的功能化脂质包材,实现靶向肽、抗体、蛋白质、核酸等的表面修饰。
长循环效果:PEG链可以有效减少RES系统(网状内皮系统)清除,延长纳米粒子在血液中的半衰期。
插膜能力强:DSPE为磷脂类材料,可与脂质体、细胞膜融合或插入,确保修饰分子稳定呈现在表面。
反应高效:Maleimide对巯基反应迅速、特异性强,通常反应在生理pH下进行,无需过多副反应。
典型应用场景
1. 靶向纳米药物递送系统构建
可与修饰巯基的肽类(如cRGD)、抗体、aptamer、小分子靶向剂反应,实现肿瘤靶向脂质体、聚合物胶束、固体脂质纳米粒、纳米晶等递送系统的构建。
2. 脂质体修饰与PEG化
用于修饰传统脂质体(如HSPC、DOPC、DPPC组成脂质体),提供PEG涂层,增强稳定性,延长循环时间,同时暴露Maleimide基团用于后期接枝。
3. 生物探针功能化
通过与带巯基的染料、物、生物素、蛋白等偶联,可用于构建功能化脂质微球、生物探针或传感器平台。
4. 细胞膜表面修饰
通过脂质插膜方式,实现马来酰亚胺基团在细胞表面呈现,再与巯基探针反应实现细胞功能化(例如用于细胞追踪或靶向修饰)。
使用方法简要
偶联反应推荐条件:
反应pH:6.5–7.5(过高pH易使马来酰亚胺水解)
反应温度:4–25°C
反应时间:0.5–2 h
缓冲液:PBS、HEPES等,不含巯基类还原剂(如DTT、2-ME)
典型偶联比例:
推荐使用1.2–2倍摩尔过量的DSPE-PEG2000-Mal,以确保巯基完全反应。
脂质体包封法:
与HSPC、CHOL等共同溶于有机溶剂,经薄膜水合法制备PEG化脂质体;
或于水化步骤后通过后修饰法进行插层。
储存条件与稳定性
存储温度:–20°C以下,干燥、避光
稳定性:粉末状态下可稳定6个月以上;溶液状态下建议现配现用,短期可在4°C保存。
避免水解:马来酰亚胺对水敏感,应避免长时间暴露于高湿环境中;若长期存放于水溶液中,活性可能下降。
注意事项
使用前建议充分溶解并过滤除菌(0.22 µm)以去除颗粒杂质。
避免与含还原性巯基的缓冲液(如Tris、β-巯基乙醇)共同使用,防止Mal基团失活。
若进行偶联反应,目标分子的巯基应充分还原、暴露,并无其他胺类或羟基干扰。
反应后需通过透析、凝胶过滤或离心超滤方式去除未反应成分。
总结
DSPE-PEG2000-Mal 是一种广泛应用于纳米药物递送、生物探针构建、靶向载体功能化的重要材料。它兼具良好的膜锚定能力、PEG修饰性能以及反应活性,为制备智能化、靶向化、生物相容性优良的纳米系统提供了理想工具。在癌症治疗、疫苗递送、细胞工程、分子成像等多个领域均具有广阔的应用前景。
西安齐岳生物科技有限公司专注于高品质聚乙二醇(PEG)及其衍生物的研发与生产,提供涵盖线性PEG、支化PEG、多官能团PEG、嵌段共聚物PEG等在内的多种基础结构产品,广泛应用于生物医药、诊断试剂、纳米材料及化学合成等领域。公司具备灵活的定制能力,可根据客户需求提供特定分子量(200–20,000 Da)、官能团(如-NH₂、-COOH、-SH、-N₃、-Biotin、等)以及不同结构的PEG修饰服务。凭借先进的合成平台与严格的质量控制体系,齐岳生物致力于为科研、药物开发和材料应用提供可靠、稳定、可追溯的PEG解决方案,支持客户实现从实验室研究到产业转化的各类需求。
厂家:西安齐岳生物科技有限公司
用途:科研
状态:固体/粉末/溶液
产地:西安
温馨提醒:仅供科研,不能用于人体实验!
相关产品:
DSPE-PEG2000-SH
DSPE-PEG2000-N3
MPEG2000-TK-DSPE
DSPE-PEG2000-FA
DSPE-PEG2K-COOH
DSPE-MPEG1K
DSPE-MPEG2K
DSPE-MPEG5K
DSPE-PEG2000-TCO
DSPE-PEG5000-Tetrazine




齐岳微信公众号
官方微信
库存查询