DSPE-PEG2000-NHS
利用DSPE-PEG2000-NHS实现胺基分子的快速高效偶联
产品全称
中文名称:DSPE-PEG2000-NHS(NHS酯修饰二硬脂酰磷脂酰乙醇胺-聚乙二醇)
英文名称:DSPE-PEG2000-NHS ester
分子量:约3400 Da(其中PEG段为2000 Da)
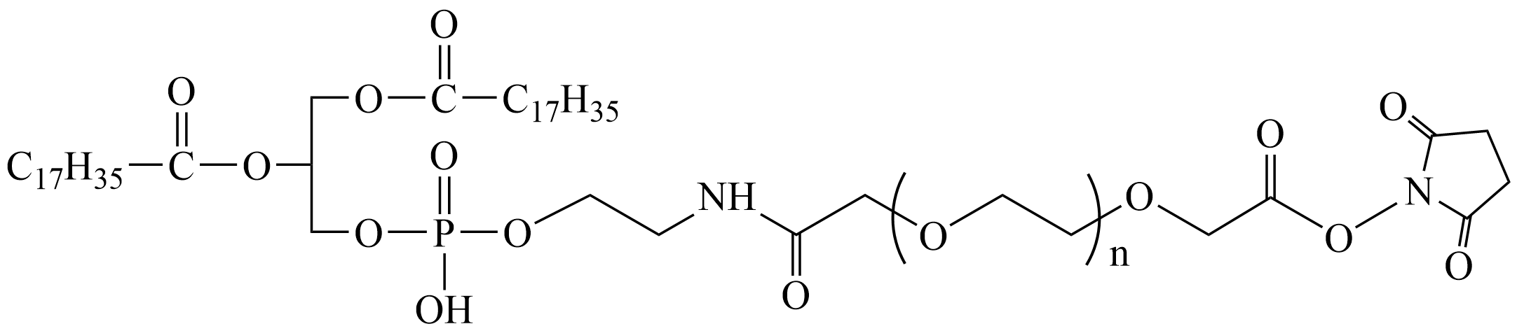
分子结构与组成
DSPE-PEG2000-NHS 是一类高功能性的脂质修饰剂,主要由三部分构成:
DSPE(1,2-Distearoyl-sn-glycero-3-phosphoethanolamine):磷脂部分,由两个十八碳长链脂肪酸构成,具有良好的脂膜插入能力,广泛应用于脂质体与生物膜修饰中;
PEG2000(聚乙二醇):亲水段,提升颗粒的稳定性与水溶性,同时增强体内循环时间,具有良好的生物相容性;
NHS(N-羟基琥珀酰亚胺)酯:活性端基团,可与伯胺(-NH₂)快速反应,实现高效偶联。
理化性质
性质 描述
分子量 PEG为2000 Da,总分子量约为3400 Da
活性基团 NHS酯(可与伯胺发生反应)
外观 白色至淡黄色固体或蜡状物
溶解性 易溶于 DMSO、DMF、氯仿、乙醇等极性或中性有机溶剂
储存条件 建议 –20°C避光干燥储存,避免水汽及高温
稳定性 在干燥惰性气氛中稳定;在水中极易水解,需现配现用
pKa(相关反应) 适合在pH 7.2–8.5范围内与胺基反应
NHS酯活性特点
NHS(N-hydroxysuccinimide)酯是一种广泛用于生物偶联的活性酯类,可与伯胺(–NH₂)反应形成稳定的酰胺键。在适当条件下(如温和pH值缓冲液中),反应高效、专一,适合连接抗体、蛋白质、肽、多糖、纳米材料等含胺基组分。
该反应机理如下:
DSPE-PEG-NHS + R-NH₂ → DSPE-PEG-NH–CO–R + NHS副产物
产品优势
✅ 可插入脂质双层或脂质体膜结构,实现稳定 anchoring;
✅ PEG链提供良好的空间位阻和水溶性保护壳,有效延长体内循环时间;
✅ NHS酯高效活性,可与氨基共价偶联,形成稳定的共价键;
✅ 操作简便,通用性强,可用于多种偶联系统,适用于化学生物修饰、药物递送、靶向载体构建等。
应用方向
1. 靶向脂质体/纳米药物构建
可与氨基修饰的靶向分子(如cRGD、FA、抗体Fab、小分子配体等)进行共价偶联,制备具有特异性靶向功能的脂质体或纳米粒,广泛用于癌症靶向递药系统研究。
2. 生物成像与诊断探针修饰
可将氨基修饰的荧光探针、放射性标记、光敏剂等连接至DSPE-PEG-NHS,实现多功能诊疗载体。
3. 细胞表面工程与人工膜系统
通过膜插入和NHS-胺偶联机制,实现对细胞膜表面、囊泡、外泌体等结构的功能化改造。
4. 适用于多种材料修饰
如金纳米粒子、磁珠、聚合物颗粒、量子点等表面氨基功能化材料,通过DSPE-PEG2000-NHS实现表面包裹与偶联。
5. 用于疫苗递送系统
在mRNA疫苗脂质体制备中,DSPE-PEG-NHS可作为修饰平台连接佐剂或靶向结构,提升免疫反应效率。
使用方法参考
溶解与处理
推荐在无水DMSO或无水DMF中溶解;
若要在水相中操作,请迅速配制并使用,以免NHS水解失活;
与含氨基的目标分子反应时,建议使用pH 7.4–8.0的缓冲体系(如HEPES或PBS);
偶联反应条件建议
条件 说明
pH范围 7.2–8.5(过高会引发副反应,过低活性不足)
反应时间 0.5–2 小时(取决于目标胺基浓度)
反应温度 室温至37℃均可(越高越快但水解风险越大)
摩尔比 NHS:胺 = 1.2–2:1 较为常见
偶联后处理 可通过透析、超滤或层析柱移除多余未反应物及副产物
储存建议
建议–20℃、避光、干燥密封储存;
避免潮气和反复冻融操作;
若需长期使用,推荐分装后充氮保存;
溶液状态下(如DMSO溶液)可短期在–20℃保存,但稳定性有限,推荐1周内用完。
文献应用实例
DSPE-PEG2000-NHS 是多个 FDA 批准药物和纳米制剂研发中的关键修饰材料。在癌症靶向、RNA递送、免疫调控、诊疗一体化等前沿研究中,均有广泛报道。例如:
用于构建 DSPE-PEG-cRGD 靶向脂质体,实现肿瘤细胞识别;
用于连接 FITC、Cy5、ICG 等荧光染料,追踪纳米颗粒体内分布;
修饰 DSPE-PEG-抗体,实现纳米药物免疫靶向功能。
总结
DSPE-PEG2000-NHS 是一种高效、稳定、通用的脂质-PEG衍生物,凭借其:
易于脂质膜锚定的 DSPE 基团,
优秀的生物相容性与循环性的 PEG2000 链,
以及高活性、高偶联效率的 NHS 酯端,
使其在生物偶联、靶向构建、药物递送、分子成像等多种前沿领域发挥着极其重要的作用。
对于希望实现“膜锚定 + 修饰”的一体化解决方案,DSPE-PEG2000-NHS 是一个值得信赖的选择。
西安齐岳生物科技有限公司专注于高品质聚乙二醇(PEG)及其衍生物的研发与生产,提供涵盖线性PEG、支化PEG、多官能团PEG、嵌段共聚物PEG等在内的多种基础结构产品,广泛应用于生物医药、诊断试剂、纳米材料及化学合成等领域。公司具备灵活的定制能力,可根据客户需求提供特定分子量(200–20,000 Da)、官能团(如-NH₂、-COOH、-SH、-N₃、-Biotin、等)以及不同结构的PEG修饰服务。凭借先进的合成平台与严格的质量控制体系,齐岳生物致力于为科研、药物开发和材料应用提供可靠、稳定、可追溯的PEG解决方案,支持客户实现从实验室研究到产业转化的各类需求。
厂家:西安齐岳生物科技有限公司
用途:科研
状态:固体/粉末/溶液
产地:西安
温馨提醒:仅供科研,不能用于人体实验!
相关产品:
DSPE-MPEG2K
DSPE-MPEG5K
DSPE-PEG2000-TCO
DSPE-PEG5000-Tetrazine
DSPE-PEG2000-Biotin
DSPE-PEG2000-Dopamine
DSPE-PEG2000-Dequalinium
DSPE-PEG2000-Alendronate sodium
DSPE-PEG2000-FITC




齐岳微信公众号
官方微信
库存查询