DSPE-PEG2000-DBCO
DSPE-PEG-DBCO介导的脂质体-N₃分子高效偶联机制研究
DSPE-PEG2000-DBCO 产品介绍
产品名称:DSPE-PEG2000-DBCO
英文名称:1,2-Distearoyl-sn-glycero-3-phosphoethanolamine-N-[poly(ethylene glycol)-2000]-DBCO
别名:DSPE-PEG2k-DBCO、DSPE-PEG-DBCO、磷脂-PEG-DBCO
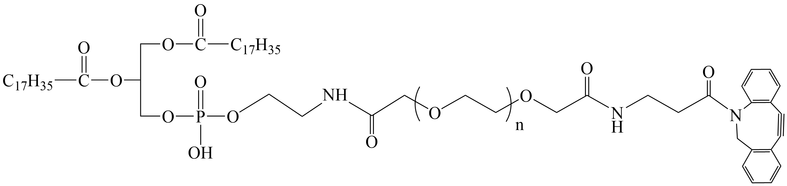
分子结构特征:疏水端为天然双链C18脂肪酸磷脂DSPE,亲水端连接聚乙二醇PEG2000,末端为环炔(DBCO)官能团。
CAS号:无统一CAS,具体可根据供应商批号确认
分子量:约2800–3000 Da
DBCO端基官能化:适用于铜离子自由的点击反应(SPAAC)
一、分子结构与功能说明
DSPE-PEG2000-DBCO 是一种典型的磷脂-PEG衍生物,结构分为三个主要功能区:
DSPE疏水段(1,2-二硬脂酰-sn-甘油-3-磷酸乙醇胺):
提供良好的疏水嵌入能力,易插入到脂质体、细胞膜或其他脂质结构中,保证其锚定稳定性。
PEG2000亲水桥段:
分子质量为2000 Da 的 PEG 提供高度水溶性与生物相容性,提升纳米材料在血液或体液中的稳定性,同时减少蛋白吸附、延长循环半衰期。
DBCO(Dibenzocyclooctyne)端基:
一种高活性的应变环炔结构,可与叠氮(N₃)官能团分子在无需铜离子的条件下高效快速发生 [3+2] 环加成反应(SPAAC),广泛用于生物正交标记与偶联。
二、产品物理化学性质
项目 数值/描述
外观 白色或类白色固体或薄膜
溶解性 易溶于水、PBS、DMSO、乙醇等
储存条件 -20°C 避光、干燥保存
稳定性 在避光、低温、干燥环境下稳定 ≥ 12 个月
纯度 一般 ≥ 95%,HPLC 或 GPC 验证
分子量分布 聚乙二醇具有一定分布范围
三、核心应用领域
脂质体表面功能化
DSPE 部分可稳定插入脂质体或脂双层膜,而 DBCO 基团暴露在外,与叠氮修饰的靶向肽、抗体、核酸等高效共价结合,实现表面定向功能化。
纳米药物靶向修饰
常用于制备靶向性纳米粒,如将叠氮化肽或抗体通过SPAAC点击反应偶联到纳米粒子表面,提高对肿瘤、脑部、免疫细胞的特异性识别与靶向。
生物正交标记
利用 DBCO 与叠氮团在体内或体外进行无铜生物正交反应,标记蛋白、多肽、糖类、细胞膜等,是化学生物学常用策略之一。
细胞膜修饰与工程
可插入细胞膜,在不影响细胞活性的条件下引入功能基团,实现细胞工程、膜融合研究等。
免疫学与分子成像
可用于构建靶向探针、分子影像载体,如叠氮修饰的染料、放射性探针等。
四、主要优势
铜离子自由的点击反应:DBCO-N₃反应无需金属催化,更适合生物体系、细胞或活体实验。
高效快速偶联:反应在温和条件下进行,反应速率快,选择性强。
良好的生物相容性:PEG 和 DSPE 都具备良好的生物相容性,毒性极低。
多种载体通用性:可用于脂质体、聚合物纳米粒、金属纳米颗粒、量子点等。
五、实验注意事项
溶解与配制:
建议先用 DMSO 或乙醇溶解后加入水系中,或用温水加热震荡促进溶解。
避免水解:
虽然 DBCO 较稳定,但长期溶于水中仍可能降解,建议现配现用。
偶联条件优化:
尽管点击反应无需金属离子,但 pH 和反应浓度仍会影响效率,通常建议在中性至微碱性(pH 7.2–8.0)环境下操作。
膜插入时间:
在脂质体表面修饰时,建议室温孵育 30–60 分钟,确保磷脂部分充分插入。
六、相关产品推荐(组合使用)
产品名称 功能
Azide-PEG-NHS 可与胺类结合,提供叠氮基
Cy5-Azide / FITC-Azide 叠氮染料用于点击标记
Azide-Modified Peptide 靶向肽与DSPE-PEG-DBCO共价连接
DSPE-PEG2000-N3 DBCO反应配对物,用于反向反应设计
DBCO-Biotin 点击标记用于亲和纯化
七、总结
DSPE-PEG2000-DBCO 作为一种高效的生物正交点击化学试剂,结合了脂质膜锚定性、PEG链生物相容性及 DBCO 环炔的反应活性,是目前生物材料功能化、靶向纳米药物研发、细胞膜修饰及分子影像等领域的重要工具分子。其结构设计兼顾了理化稳定性与反应活性,适用于多种科研与应用场景,是构建可控生物材料的理想选择。
西安齐岳生物科技有限公司专注于高品质聚乙二醇(PEG)及其衍生物的研发与生产,提供涵盖线性PEG、支化PEG、多官能团PEG、嵌段共聚物PEG等在内的多种基础结构产品,广泛应用于生物医药、诊断试剂、纳米材料及化学合成等领域。公司具备灵活的定制能力,可根据客户需求提供特定分子量(200–20,000 Da)、官能团(如-NH₂、-COOH、-SH、-N₃、-Biotin、等)以及不同结构的PEG修饰服务。凭借先进的合成平台与严格的质量控制体系,齐岳生物致力于为科研、药物开发和材料应用提供可靠、稳定、可追溯的PEG解决方案,支持客户实现从实验室研究到产业转化的各类需求。
厂家:西安齐岳生物科技有限公司
用途:科研
状态:固体/粉末/溶液
产地:西安
温馨提醒:仅供科研,不能用于人体实验!
相关产品:
DSPE-PEG2000-MTX
DSPE-PEG2000-Cys
DSPE-PEG2k-L-Tyr
DSPE-PEG2k-D-Ala
DSPE-PEG2K-D-Ser
DSPE-PEG2K-L-Ser
DSPE-PEG2K-Gln
DSPE-PEG2K-L-Arg
DSPE-PEG2K-o-phospho-tyrosine
DSPE-PEG2K-valine




齐岳微信公众号
官方微信
库存查询