MPEG2000-TK-DSPE
mPEG2000-TK-DSPE诱导的还原性触发载药系统研究
产品名称:mPEG2000-TK-DSPE
中文名称:甲氧基聚乙二醇-硫链连接-二硬脂酰磷脂酰乙醇胺
英文名称:mPEG2000-Thioketal-DSPE
别名缩写:mPEG-TK-DSPE、Methoxy PEG2000-TK-DSPE、mPEG₂k-TK-DSPE
分子量:约2800 Da(PEG2000 + TK + DSPE)
官能团:末端甲氧基(–OCH₃),中间含硫键TK(–S–C(CH₃)₂–S–)
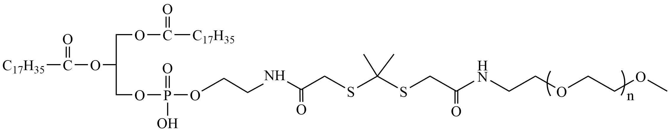
一、产品组成与结构说明
mPEG2000-TK-DSPE 是一种由三部分组成的两亲性嵌合分子:
mPEG2000:亲水柔性链,分子量2000,增强纳米粒子的水溶性和血液循环稳定性。
TK(Thioketal)键:位于PEG与DSPE之间的中间连接结构,含硫键(–S–C(CH₃)₂–S–),可被活性氧(ROS)特异性断裂,是一种ROS响应降解结构。
DSPE(1,2-Distearoyl-sn-glycero-3-phosphoethanolamine):双C18饱和脂肪酸组成的磷脂结构,可插入脂质体、生物膜或纳米粒子疏水内核。
整体结构形式为:
CH₃O–PEG2000–TK–DSPE
二、理化性质
项目 参数信息
外观 白色至类白色固体或蜡状物
分子量 约2800 Da(PEG2000 + TK linker + DSPE)
纯度 ≥95%(GPC或HPLC检测)
溶解性 可溶于水、PBS、DMSO、氯仿、乙醇
储存条件 –20°C避光干燥保存,避免反复冻融
稳定性 常温下短期稳定;长期保存需避氧、避光
三、TK连接基团介绍:活性氧(ROS)响应结构
Thioketal(TK)是一种典型的ROS敏感连接子,具有以下特性:
化学结构:R–S–C(CH₃)₂–S–R'
响应机制:在高浓度H₂O₂、•OH、¹O₂等ROS环境中,硫键发生断裂,导致PEG从DSPE分离。
断裂效果:PEG剥离后可暴露DSPE,提高纳米粒子疏水性、促释放、增强细胞摄取。
典型场景:肿瘤、炎症或缺血组织ROS浓度显著升高,触发TK断裂,实现靶向释放。
四、应用优势与科研价值
1. 用于构建ROS响应型纳米药物载体
mPEG-TK-DSPE 可自组装成聚集体或嵌入脂质体表面,通过TK键实现对肿瘤微环境中ROS的响应性剥离,从而释放药物或暴露作用位点。
适用于敏感药物的可控释放设计(如:DOX、PTX、Cisplatin等)。
2. 改善脂质体的血液循环与靶向能力
正常环境中,PEG屏蔽作用延长循环时间,减少MPS吞噬;
ROS富集区域,TK断裂,PEG脱落,暴露DSPE助力细胞膜融合,提高细胞摄取率。
3. 构建免疫调节型纳米载体
在肿瘤免疫微环境中,ROS上调,PEG的脱落可激活免疫作用、改善抗原暴露;
可联合DSPE修饰的肽类抗原或免疫佐剂,实现增强免疫反应的设计。
4. 纳米探针与影像增强设计
将TK-DSPE用于修饰造影剂载体(如SPIO、ICG等),在ROS环境中实现PEG脱落,提高影像剂信号与靶向性。
五、典型应用研究示例
应用方向 示例描述
药物递送 mPEG-TK-DSPE包裹DOX,响应肿瘤ROS脱PEG,促进药物释放
免疫纳米疫苗 搭载DSPE-OVA肽或CpG寡核苷酸,PEG保护循环,ROS脱保护后激活免疫
细胞膜修饰 TK键在高ROS环境中断裂,释放功能分子或揭示纳米粒识别标签
血脑屏障通透设计 PEG部分抑制非靶向穿透,ROS触发暴露穿膜肽片段提升通透性
六、使用与操作建议
溶解建议
可使用 DMSO、乙醇等预溶,再缓慢稀释入PBS;
脂质体组方中,推荐与其他脂类(如HSPC、Chol)共同溶于氯仿制膜。
制备方式
常用“薄膜水化-超声挤出法”构建脂质体;
或与PLGA、PCL等聚合物共同参与纳米粒自组装。
储存与稳定性
建议分装避光,避免空气中ROS长期暴露;
不能高温灭菌,如需无菌操作,推荐0.22 μm 过滤。
响应验证实验
可用H₂O₂(100–500 μM)模拟ROS环境,检测PEG断裂及粒径变化;
通过TEM、DLS 或释放曲线分析响应性。
七、与其他DSPE-PEG产品的比较
产品名称 结构特点 是否响应型 官能团
DSPE-PEG2000-OCH₃ 标准亲水PEG磷脂,非响应 否 –OCH₃
DSPE-PEG2000-COOH 可用于进一步连接反应 否 –COOH
DSPE-PEG2000-TK 含硫键,响应ROS 是 –OH / –H
mPEG2000-TK-DSPE PEG末端为甲氧基,稳定性好 是 –OCH₃(不可再修饰)
八、结语与前景展望
mPEG2000-TK-DSPE 结合了 PEG长循环保护性、DSPE脂质锚定能力 与 Thioketal ROS响应降解特性,是构建智能型纳米药物、响应释放系统、肿瘤靶向脂质体的重要功能材料。其在癌症治疗、炎症定位、免疫治疗以及纳米诊疗一体化平台的研发中,展现出广泛的应用前景。
西安齐岳生物科技有限公司专注于高品质聚乙二醇(PEG)及其衍生物的研发与生产,提供涵盖线性PEG、支化PEG、多官能团PEG、嵌段共聚物PEG等在内的多种基础结构产品,广泛应用于生物医药、诊断试剂、纳米材料及化学合成等领域。公司具备灵活的定制能力,可根据客户需求提供特定分子量(200–20,000 Da)、官能团(如-NH₂、-COOH、-SH、-N₃、-Biotin、等)以及不同结构的PEG修饰服务。凭借先进的合成平台与严格的质量控制体系,齐岳生物致力于为科研、药物开发和材料应用提供可靠、稳定、可追溯的PEG解决方案,支持客户实现从实验室研究到产业转化的各类需求。
厂家:西安齐岳生物科技有限公司
用途:科研
状态:固体/粉末/溶液
产地:西安
温馨提醒:仅供科研,不能用于人体实验!
相关产品:
DMPE-PEG2000-FITC
DPPE-PEG2000-FITC
DLPE-MPEG2000
DSPE-PEG2000-β-cyclodextrin
DSPE-PEG2K-PEI1200
DSPE-PEG5000-ADA
DSPE-PE2000-L-His
DSPE-PE2000-benzenesulfonamide




齐岳微信公众号
官方微信
库存查询