英文名 Bis-sulfone-PEG4-DBCO
CAS号 1854034-70-0
分子量 1006.19
密度 N/A
沸点 N/A
分子式 C54H59N3O12S2
熔点 N/A

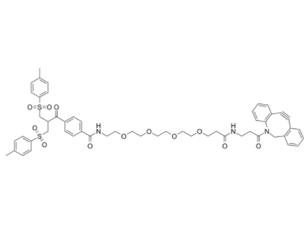
双巯基磺酸四聚乙二醇二苯基环辛炔是一种结构复杂的有机化合物,结合了多聚乙二醇(PEG)、巯基、磺酸基团以及环辛炔等多个功能基团。这种化合物的设计使其在生物化学和领域具有广泛的应用潜力。
从化学结构上看,该化合物是一个的核心环辛炔结构,两端分别连接了四聚乙二醇(PEG4)链,PEG链的末端分别修饰了巯基(-SH)和磺酸基团(-SO₃H)。巯基是一种活泼的官能团,能够与金属离子、巯基反应性分子(如马来酰亚胺)或蛋白质中的半胱氨酸残基发生特异性结合。磺酸基团则赋予了化合物良好的水溶性和离子性,使其能够在水相环境中稳定存在。
在生物医学领域,双巯基磺酸四聚乙二醇二苯基环辛炔可用于生物分子的标记和偶联。巯基可以与蛋白质、肽段或核酸中的巯基反应性基团结合,将PEG链和环辛炔结构共价连接到生物分子上。这种修饰不仅可以增加生物分子的稳定性和水溶性,还可以通过环辛炔的荧光性质或磺酸基团的离子特性实现对生物分子的检测和成像。例如,在蛋白质组学研究中,该化合物可用于标记细胞表面的蛋白质,通过荧光显微镜观察其在细胞内的分布和动态变化。
相关推荐:
2353409-92-2 TCO-PEG8-amine
2158336-48-0 5-TAMRA amine TAMRA NH2 5-四甲基罗单明-氨基
63902-24-9 (E)-1-Ethyl-2-((1-ethylquinolin-2(1H)-y
Desthiobiotin-CO-NH-C2-amine_脱硫生物素-CO-NH-C2-氨基
N-(DBCO-PEG4)-N-Biotin-PEG4-NHS 2353409-72-8点击化学生物
773888-45-2 Biotin alkyne 炔活化生物素化试剂
1565798-78-8 1 4 7 10-Tetraazacyclododecane-1 4 7-




齐岳微信公众号
官方微信
库存查询