DOPE-FITC
DOPE-FITC:适用于脂质体标记的绿色荧光材料
DOPE-FITC 产品介绍
一、产品概述
产品名称:DOPE-FITC
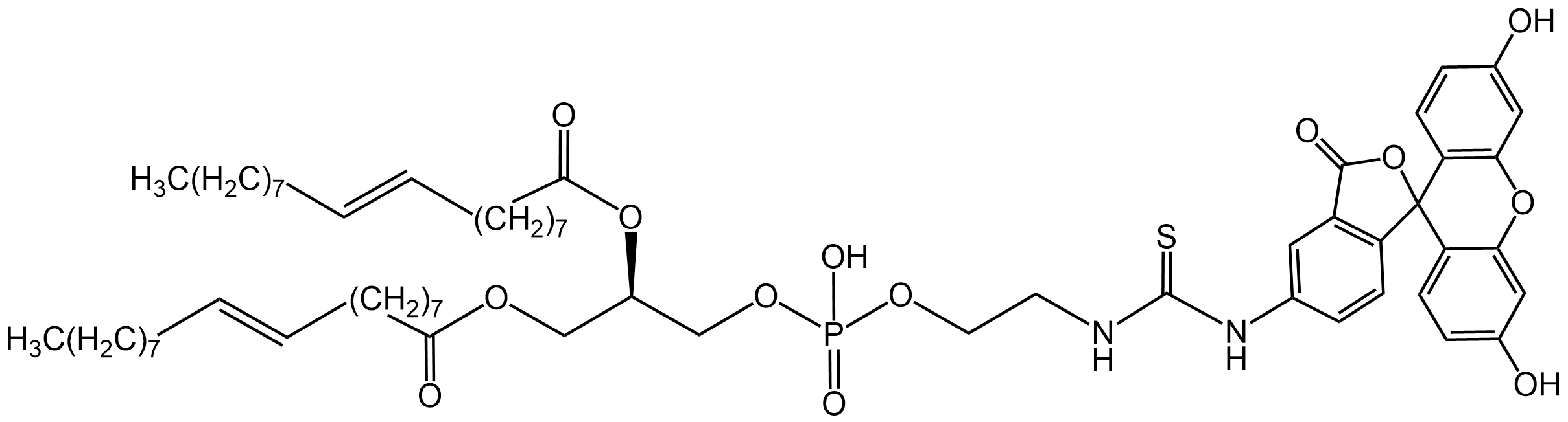
英文全称:1,2-Dioleoyl-sn-glycero-3-phosphoethanolamine-fluorescein isothiocyanate
简称:DOPE-FITC,FITC-DOPE
CAS号:无统一编号,属于定制共轭物
结构类型:脂质-荧光素异硫氰酸酯共轭物
分子式:C₄₁H₇₅NO₈P + FITC
分子量:约 1300–1500 Da(取决于连接方式)
外观:浅橙至黄绿色粉末或薄膜状固体
储存条件:避光,-20°C干燥密封保存
溶解性:溶于氯仿、DMSO、甲醇,适当条件下可分散于水相
二、结构与荧光性质
1. DOPE部分
DOPE(1,2-Dioleoyl-sn-glycero-3-phosphoethanolamine)是具有两条顺式双键不饱和脂肪酸链的磷脂,具有极佳的膜融合性和生物相容性,广泛用于脂质体、固体脂质纳米粒、纳米囊泡等结构中,能稳定嵌入细胞膜或人工膜系统。
2. FITC部分
FITC(Fluorescein Isothiocyanate)是一种经典的绿色荧光探针,激发发射性能如下:
激发波长(λex):约 495 nm
发射波长(λem):约 519 nm
荧光颜色:鲜亮绿色
量子产率:高(~0.9)
特点:适合细胞实验、共聚焦、荧光成像、流式细胞分析等
FITC通过异硫氰酸酯与DOPE头部的乙醇胺氨基发生共价键合,形成稳定的 DOPE-FITC。
三、功能与应用领域
1. 脂质体标记与追踪
DOPE-FITC 能稳定插入脂质体膜中,使脂质体具备绿色荧光,可用于:
脂质体结构成像与可视化
细胞摄取与内吞路径研究
纳米载体的体内外分布检测
脂质体药物递送机制探索
2. 细胞膜标记
由于DOPE可锚定细胞膜,而FITC提供可视信号,DOPE-FITC适合用于:
细胞膜成分追踪
细胞膜融合实验(如胞吞/胞吐观察)
膜蛋白再构系统的标记
膜生物物理研究
3. 膜融合研究
DOPE 是常用于模拟生物膜的脂质之一,DOPE-FITC可用于观察:
脂质体-细胞膜融合过程
纳米粒体内释放行为
荧光脱淬(FRET)实验研究膜结构重排
4. 流式细胞术分析
DOPE-FITC 可以标记细胞、脂质体或其他纳米结构,适用于:
流式细胞仪检测与定量
载体的靶向性评估
细胞摄取动力学分析
四、技术优势
属性 描述
高亲脂性 可稳定锚定于脂质双层,适用于脂质体等结构
高荧光强度 FITC发射强烈、容易检测、信噪比高
化学稳定性 FITC与DOPE共价连接,避免染料脱落
易于应用 可与其他脂质共混使用,便于膜系统构建
生物相容性良好 DOPE本身来源于天然磷脂,对细胞无毒性影响小
五、实验操作建议
1. 使用比例
建议在脂质体中添加量为总脂的 0.1–1 mol%,不建议过量使用,避免影响膜结构稳定性或成像背景。
2. 溶液制备
DOPE-FITC 通常使用氯仿或DMSO预溶解,与其他脂质一起干膜法制备脂质体。
水化温度建议为室温至40°C,使用PBS、HEPES或pH 7.4缓冲液。
成品脂质体建议透析去除游离FITC,获得更稳定、清洁的成像结果。
3. 储存方式
避光保存于-20°C,使用时尽量避光操作,避免FITC荧光淬灭
不建议长期溶于水或缓冲液中保存,可按需分装冻干保存
六、典型应用文献
Journal of Controlled Release, 2019
“Fluorescent lipid-based carriers using DOPE-FITC for cellular uptake and intracellular tracking”
Biomacromolecules, 2021
“Visualization of liposomal drug release using DOPE-FITC conjugated phospholipids”
International Journal of Nanomedicine, 2020
“Construction of DOPE-FITC-labeled nanoparticles for cancer targeting and uptake studies”
七、产品订购信息
产品编号 产品名称 包装规格 纯度 储存条件
DOPE-FITC-1 DOPE-FITC 1 mg ≥95%(HPLC) -20°C,避光
DOPE-FITC-5 DOPE-FITC 5 mg ≥95% -20°C,避光
DOPE-FITC-C 定制 任意规格 ≥90%–99% 按客户需求提供定制服务
可根据需求提供以下支持:
HPLC、NMR、MS、UV等表征图谱
FITC/DOPE摩尔比定制
脂质体制备服务
联合标记产品(如DOPE-FITC-PEG, DOPE-FITC-RGD)
八、总结
DOPE-FITC 是一种兼具生物膜锚定能力和绿色荧光信号的功能性磷脂,已广泛用于生物膜研究、纳米递送、细胞成像和药物追踪等前沿领域。其良好的膜亲和性与成像性能,使其成为脂质体类系统不可或缺的标记分子。
其稳定性、通用性与荧光强度,使 DOPE-FITC 在科研实验、活体成像及药物递送机制研究中具有极高的应用价值。对于需要精确追踪脂质系统或构建多功能纳米平台的研究人员而言,DOPE-FITC 是一款值得优先选择的高性能工具分子。
西安齐岳生物科技有限公司专注于高品质聚乙二醇(PEG)及其衍生物的研发与生产,提供涵盖线性PEG、支化PEG、多官能团PEG、嵌段共聚物PEG等在内的多种基础结构产品,广泛应用于生物医药、诊断试剂、纳米材料及化学合成等领域。公司具备灵活的定制能力,可根据客户需求提供特定分子量(200–20,000 Da)、官能团(如-NH₂、-COOH、-SH、-N₃、-Biotin、等)以及不同结构的PEG修饰服务。凭借先进的合成平台与严格的质量控制体系,齐岳生物致力于为科研、药物开发和材料应用提供可靠、稳定、可追溯的PEG解决方案,支持客户实现从实验室研究到产业转化的各类需求。
厂家:西安齐岳生物科技有限公司
用途:科研
状态:固体/粉末/溶液
产地:西安
温馨提醒:仅供科研,不能用于人体实验!
相关产品:
DOPS-PEG2000-CY3
DOPS-PEG2000-SH
DSPE-Itaconic Anhydride
DSPE-PEG3000-ACA
DSPE-PEG-Tannins
DSPE-PEG2000-DOX
DSPE-PLGA2000
DSPE-PEG2k-PLGA1k




齐岳微信公众号
官方微信
库存查询