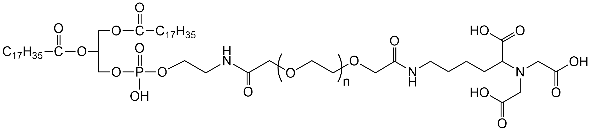
DSPE-PEG2000-NTA
DSPE-PEG2000-NTA:镍螯合亲和标记脂质材料
DSPE-PEG2000-NTA 产品介绍
一、基本信息
产品名称:DSPE-PEG2000-NTA
中文名称:DSPE-PEG2000-氮三乙酸
英文名称:1,2-Distearoyl-sn-glycero-3-phosphoethanolamine-N-[nitrilotriacetic acid]-poly(ethylene glycol)-2000
常用别名:DSPE-PEG-NTA、DSPE-PEG2000-NTA-Ni(螯合后)
分子量:约 3100–3500 Da(视构建方式和金属是否螯合)
结构组成:DSPE(脂质锚定)+ PEG2000(柔性链)+ NTA(三羧酸)金属螯合头
外观:白色至类白色蜡状固体或粉末
纯度:≥95%(HPLC)
溶解性:DMSO、水、PBS、乙醇、氯仿等
储存条件:-20°C,避光干燥
保质期:12–24个月
二、结构与功能模块解析
1. DSPE(1,2-二硬脂酰-sn-甘油-3-磷酸乙醇胺)
具有双C18饱和脂肪酸链,可牢固插入脂质体、纳米粒、细胞膜等
提供良好的疏水锚定性能,是脂质功能分子构建的常用基础结构
2. PEG2000(聚乙二醇)
提供水溶性与空间位阻,有效防止颗粒聚集和非特异性吸附
使得NTA定位于粒子表面、避免被包埋或隐蔽,提升功能暴露性
3. NTA(Nitrilotriacetic acid)
典型的三羧基金属螯合基团
能以四配位方式与镍离子(Ni²⁺)、铜离子(Cu²⁺)、钴离子(Co²⁺)等结合
特异性捕获带有 His-tag 的蛋白质、肽类、酶、抗体片段等
三、主要功能与应用领域
1. His-tag 蛋白定向偶联
Ni²⁺-NTA 可与含有 His₆ 标签的重组蛋白实现定向结合
应用于构建功能化脂质体、纳米粒、表面修饰平台等
保持蛋白活性、结构完整性,并增强偶联的可控性与重复性
2. 靶向药物递送系统构建
His-修饰的抗体/配体/酶可通过DSPE-PEG-NTA插入脂质体表面
实现对肿瘤细胞、炎症位点、细胞器等的靶向递送
已广泛用于 siRNA、mRNA、小分子药物递送平台设计
3. 功能化纳米粒子表面修饰
与金属氧化物纳米粒、LNP、聚合物微球等结合
为表面提供可控结合点以加载蛋白、荧光团、识别分子
常用于免疫荧光成像、生物探针构建、靶向成像平台
4. 免疫识别与生物分离
NTA-Ni²⁺在分子筛、亲和层析等领域可实现His-tag蛋白的可逆吸附
应用于纳米探针识别、细胞分选、信号放大系统等平台搭建
四、产品技术优势
功能模块 技术优势说明
DSPE 优异的疏水锚定能力,插膜稳定,适用于多种脂质系统
PEG2000 增强粒子稳定性,提升NTA可接触性,减少非特异性吸附
NTA基团 高效金属螯合,特异性结合His标签,无需化学交联
构建灵活 可通过金属离子调节结合能力,可逆控制蛋白负载与释放
广泛兼容 可应用于脂质体、LNP、水凝胶、磁珠、聚合物微粒等多系统
低毒生物相容性好 组成结构均为FDA批准的或常用于生物体系中的化合物
五、典型使用方法
1. 金属螯合处理
将DSPE-PEG2000-NTA溶于水或缓冲液中
加入NiCl₂(或CuCl₂、CoCl₂),摩尔比约1.2:1
反应30分钟~1小时后,除去游离金属离子(透析/超滤)
即得Ni²⁺-DSPE-PEG-NTA,可用于蛋白结合或纳米修饰
2. 功能化脂质体制备
与DSPC、Chol、DSPE-PEG2000等脂质共混
使用薄膜水化、微流控法或冻干复溶法制备脂质体
添加Ni²⁺后,His-tag蛋白可直接孵育结合于表面
可用于靶向、成像、传感或诊断平台搭建
3. 用量建议
在脂质体中添加 DSPE-PEG2000-NTA 的摩尔百分比为 1–5%
His-tag蛋白孵育时间:常温30分钟–2小时,或4°C过夜
配体浓度、离子强度及pH需根据结合蛋白调整
六、文献与应用案例
Nature Communications, 2017
“Lipid–PEG–NTA conjugates for oriented presentation of his-tagged targeting ligands on liposomes”
ACS Nano, 2020
“Ni-NTA functionalized lipid nanoparticles for modular loading of His-tagged immune ligands in cancer immunotherapy”
Biomaterials, 2019
“Engineering PEG–lipid–NTA modified nanocarriers for targeted delivery of recombinant His-tagged peptides”
七、订购信息与服务支持
产品编号 产品名称 规格 金属状态 纯度 备注
DSPE-PEG2000-NTA-5 DSPE-PEG2000-NTA 5 mg 未螯合 ≥95% 常规现货
DSPE-PEG2000-NTA-25 DSPE-PEG2000-NTA 25 mg 未螯合 ≥95% 大包装现货
DSPE-PEG2000-NTA-Ni Ni²⁺螯合版本 定制 Ni螯合 ≥95% 定制现配或冻干
DSPE-PEG2000-NTA-C 定制版本 任意 可选 ≥90% 支持PEG链长或脂肪酸定制
技术支持服务:
提供NMR、HPLC、MS等检测图谱与COA
可协助设计脂质体/纳米粒配方方案
提供蛋白负载率检测、结合曲线实验建议
提供中英文MSDS、安全资料、操作视频等支持
八、总结
DSPE-PEG2000-NTA 是一种功能性强、使用便捷的螯合脂质材料,尤其适用于 His-tag 蛋白偶联、靶向递送系统构建、生物探针制备等研究。其以DSPE为稳定锚定基底,PEG为柔性间隔臂,NTA为螯合识别头,实现了高度生物兼容与功能定向控制,是构建智能、模块化生物纳米平台的理想工具分子。
西安齐岳生物科技有限公司专注于高品质聚乙二醇(PEG)及其衍生物的研发与生产,提供涵盖线性PEG、支化PEG、多官能团PEG、嵌段共聚物PEG等在内的多种基础结构产品,广泛应用于生物医药、诊断试剂、纳米材料及化学合成等领域。公司具备灵活的定制能力,可根据客户需求提供特定分子量(200–20,000 Da)、官能团(如-NH₂、-COOH、-SH、-N₃、-Biotin、等)以及不同结构的PEG修饰服务。凭借先进的合成平台与严格的质量控制体系,齐岳生物致力于为科研、药物开发和材料应用提供可靠、稳定、可追溯的PEG解决方案,支持客户实现从实验室研究到产业转化的各类需求。
厂家:西安齐岳生物科技有限公司
用途:科研
状态:固体/粉末/溶液
产地:西安
温馨提醒:仅供科研,不能用于人体实验!
相关产品:
DSPE-NHS
DSPE-COOH
DSPE-MAL
DSPE-N3
DSPE-DBCO




齐岳微信公众号
官方微信
库存查询