DOPE-PEG2000-FITC
DOPE-PEG2000-FITC用于可视化递送系统构建及其荧光成像特性分析
一、基本信息概览
中文名称:1,2-双油酰-sn-甘油-3-磷酸乙醇胺-N-[聚乙二醇-2000]-荧光素
英文名称:1,2-Dioleoyl-sn-glycero-3-phosphoethanolamine-N-[methoxy(polyethylene glycol)-2000]-fluorescein
简称:DOPE-PEG2000-FITC
分子量:约3800–4200 Da
外观:淡黄色或浅绿色固体或蜡状物
溶解性:溶于DMSO、DMF、氯仿、乙醇等有机溶剂,可分散于水系缓冲液形成胶束/脂质体
储存条件:–20℃,避光、干燥密封保存
功能特点:具备荧光探针功能的两亲性磷脂衍生物,适合标记脂质体、细胞膜等
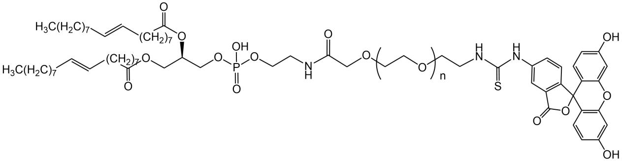
二、结构与分子构成
DOPE-PEG2000-FITC 是一种三功能复合型两亲性分子,由下列关键结构单元构成:
1. DOPE(1,2-Dioleoyl-sn-glycero-3-phosphoethanolamine)
含有两个不饱和的C18脂肪酸链(油酸),具有流动性好、弯曲性强的特点;
能够稳定嵌入生物膜系统,常用于构建脂质体、囊泡和脂质纳米粒。
2. PEG2000链段
分子量2000 Da(约45个乙二醇单元),亲水性强,可在水相中形成保护层;
提高粒子稳定性、血液循环时间,减少聚集与免疫清除。
3. FITC(异硫氰酸荧光素)
通过共价方式连接于PEG链末端,为整分子提供强绿光荧光信号(Ex/Em ≈ 495/519 nm);
常用于细胞/组织荧光成像、载体追踪、分析等。
三、理化性质参数
属性 描述或数据
分子量 约3800–4200 Da
疏水尾部 C18:1(油酸)×2
PEG链长度 PEG2000(约45个重复单元)
荧光基团 FITC(异硫氰酸荧光素)
激发波长(Ex) 495 nm
发射波长(Em) 519 nm
外观 黄绿色固体或蜡状
溶解性 DMSO、DMF、氯仿、甲醇、乙醇,部分可入水
储存条件 –20℃避光干燥保存
推荐浓度 0.01–1 mg/mL(依应用类型而定)
四、产品优势与特点
✅ 1. 功能
FITC标记的DOPE-PEG可提供稳定绿光信号;
支持流式细胞术、共聚焦、荧光显微成像等检测方式;
可作为脂质体、细胞膜或纳米粒的追踪标记。
✅ 2. 两亲性磷脂结构
DOPE疏水尾嵌入脂膜,PEG亲水链段向外伸展,提供生物相容性屏障;
在体内和体外环境中形成结构稳定的脂质体或自组装胶束。
✅ 3. 可用于成像、追踪与靶向递送
可用于监测脂质体在体内的分布路径、胞吞行为或释放动力学;
结合靶向功能(通过共组装其他功能磷脂),可用于精确定位和成像。
✅ 4. 良好的化学稳定性
PEG2000结构提高溶解性和稳定性,FITC标记不易脱落;
荧光信号强且稳定,可在多种实验条件下使用。
五、主要应用方向
1. 荧光脂质体构建与成像
用于标记脂质体纳米载体,追踪其在体外细胞或体内组织的分布与摄取;
可用于研究脂质体的稳定性、药物释放动力学、细胞内递送等过程。
2. 细胞膜/膜结构标记
由于DOPE容易插入生物膜,FITC标记可用于膜染料或标记脂筏结构;
适用于细胞示踪、细胞膜动态行为研究等。
3. 纳米探针与诊断平台构建
与靶向磷脂(如DSPE-PEG-RGD等)共组装,可构建具有靶向与成像双功能的纳米系统;
可应用于肿瘤靶向成像、靶点筛选、组织定位等前沿技术。
4. 细胞摄取机制研究
通过追踪DOPE-PEG2000-FITC标记的粒子,可研究内吞机制、胞内分布、跨膜过程等;
广泛用于生物药物传递机制解析。
六、推荐使用方法
✅ 脂质体制备示例(薄膜水化法):
将DOPE、胆固醇、DOPE-PEG2000-FITC按摩尔比例(如80:15:5)溶于氯仿中;
旋蒸除去有机溶剂,形成脂质薄膜;
加入PBS缓冲液水化,震荡得到粗脂质体;
通过挤出器均化粒径(如100 nm滤膜);
使用后可通过透析去除游离FITC或残余溶剂。
✅ FITC信号检测
荧光显微镜:激发波长488–495 nm,观察绿色发光;
流式细胞仪:通道FL1检测;
共聚焦显微镜:适合三维定位与组织切片成像。
七、储存与稳定性建议
项目 建议值/说明
干粉状态保存 –20°C,避光干燥封闭保存,可保存12个月以上
溶液状态稳定性 建议现配现用;如需短期保存,置于4°C避光不超1周
避免 高温、强酸碱、强氧化剂、金属离子干扰等
八、安全说明与操作提示
FITC虽为常用染料,但其异硫氰酸酯结构可能对皮肤、眼睛有轻微刺激性;
实验中应佩戴手套、护目镜,避免直接接触;
废液建议按照有机废弃物规范处置。
九、相关文献参考
Torchilin, V.P. “Recent advances with liposomes as pharmaceutical carriers.” Nat Rev Drug Discov, 2005.
Allen, T.M., Cullis, P.R. “Liposomal drug delivery systems: from concept to clinical applications.” Adv Drug Deliv Rev, 2013.
Zhang, L. et al. “Fluorescent liposomes for cellular imaging.” Bioconjug Chem, 2010.
Sletten EM, Bertozzi CR. “Bioorthogonal Chemistry: Fishing for Selectivity in a Sea of Functionality.” Angew Chem Int Ed. 2009.
十、订购信息(示意)
项目 内容
产品名称 DOPE-PEG2000-FITC
分子量 约3800–4200 Da
荧光性质 FITC(Ex:495 nm / Em:519 nm)
纯度 ≥95%(HPLC或质谱)
包装规格 5 mg / 10 mg / 25 mg / 50 mg / 定制
储存条件 –20℃干燥避光
附带资料 COA、结构式、MSDS、使用说明书
十一、总结
DOPE-PEG2000-FITC 作为一种整合了脂质嵌膜性、PEG稳定性与荧光功能的多功能磷脂衍生物,广泛应用于构建成像脂质体、细胞膜标记、追踪载体动态等前沿生命科学与药物研究领域。其优异的荧光性能、良好的水相稳定性与生物相容性,使其成为研究脂质系统行为和纳米递送机制的重要工具分子。
西安齐岳生物科技有限公司专注于高品质聚乙二醇(PEG)及其衍生物的研发与生产,提供涵盖线性PEG、支化PEG、多官能团PEG、嵌段共聚物PEG等在内的多种基础结构产品,广泛应用于生物医药、诊断试剂、纳米材料及化学合成等领域。公司具备灵活的定制能力,可根据客户需求提供特定分子量(200–20,000 Da)、官能团(如-NH₂、-COOH、-SH、-N₃、-Biotin、等)以及不同结构的PEG修饰服务。凭借先进的合成平台与严格的质量控制体系,齐岳生物致力于为科研、药物开发和材料应用提供可靠、稳定、可追溯的PEG解决方案,支持客户实现从实验室研究到产业转化的各类需求。
厂家:西安齐岳生物科技有限公司
用途:科研
状态:固体/粉末/溶液
产地:西安
温馨提醒:仅供科研,不能用于人体实验!
相关产品:
DOPE-MPEG2000
DOPE-PEG2000-Biotin
DMPE-MPEG2000
DMPE-PEG2000-MAL
DMPE-PEG5000-NH2
DMPE-PEG5000-SH
DPPE-MPEG2000




齐岳微信公众号
官方微信
库存查询