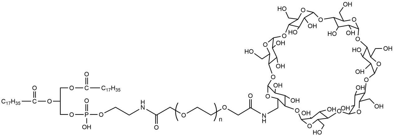
DSPE-PEG2000-β-cyclodextrin
DSPE-PEG2000-β-CD在超分子纳米载体构建中的作用与机制研究
一、产品基本信息
中文名称:1,2-二硬脂酰-sn-甘油-3-磷酸乙醇胺-N-[聚乙二醇2000]-β-环糊精
英文名称:DSPE-PEG2000-β-Cyclodextrin
分子结构简写:DSPE-PEG₂₀₀₀-β-CD
分子量:约4700–5000 Da(取决于连接方式)
外观性状:白色至类白色蜡状固体或粉末
溶解性:溶于水、DMSO、DMF、氯仿、乙醇等
储存条件:–20°C,干燥、避光、密封
用途定位:用于制备脂质体、自组装纳米颗粒、药物包载与缓释系统、包合复合物构建等
二、结构组成与功能解读
DSPE-PEG2000-β-CD 是一种集成了脂质锚定、PEG修饰、以及分子识别功能的多功能分子。其结构包括以下三个核心部分:
1. DSPE(1,2-Distearoyl-sn-glycero-3-phosphoethanolamine)
由两条C18饱和脂肪酸链构成,熔点高(Tm ≈ 74°C);
能稳固地插入脂质体双层或生物膜中,提供疏水锚定力;
为整个分子提供稳定的膜亲和性载体基础。
2. PEG2000(聚乙二醇)
分子量2000 Da,约含45个乙二醇重复单元;
提供优异的亲水性和空间立体位阻屏蔽作用;
延长脂质体、纳米颗粒等在血液中的循环时间,减少被网状内皮系统(RES)清除。
3. β-环糊精(β-Cyclodextrin)
由7个α-1,4-葡萄糖单元构成的环状低聚糖,具有疏水内腔与亲水外缘;
可形成主客体包合复合物,用于包载小分子药物、染料、荧光团等;
是一种“分子夹子”,实现非共价功能化和可逆载药。
三、核心特性与性能指标
项目 参数与说明
分子量 ~4700–5000 Da
疏水锚定段 DSPE,双C18饱和链
PEG段长度 PEG2000(45个EO单元)
主客体识别功能 β-CD 提供可逆包合位点
溶解性 良好,适于水相或有机溶剂体系
自组装能力 可形成脂质体、胶束、复合纳米粒
包合能力 对疏水性药物、荧光团、芳香族分子等有强亲和力
包合常数 一般为 10³–10⁵ M⁻¹,取决于客体种类
四、产品优势
✅ 三功能整合:锚定 + 稳定 + 包合
DSPE 提供膜锚定,PEG2000 提供亲水性,β-CD 实现小分子包合,三者协同构建多功能平台。
✅ 高生物相容性与长循环性
PEGylation 显著提高纳米系统的体内稳定性与隐形性,广泛应用于“隐身”脂质体或纳米药物。
✅ 可逆药物包载与控释
β-CD对客体分子的非共价包合可实现缓释、控释、酸敏脱载等功能。
✅ 易于后续修饰与功能扩展
β-CD 可用于包合具有氨基、叠氮、炔基、罗丹明、荧光素等官能团的小分子,实现智能响应、自组装或靶向功能化。
五、典型应用场景
1. 脂质体与胶束系统构建
DSPE-PEG2000-β-CD可在脂质体制备中引入,形成具有CD功能的表面修饰脂质体;
可用于构建“可加载药物+响应控制释放”的复合体系。
2. 主客体识别平台
与带有AD(adamantane)、胆甾醇、芳香族基团等的客体形成复合体,用于层层自组装、生物传感器、可控解离纳米结构构建。
3. 药物递送系统
β-CD部分可包载小分子疏水药物(如多柔比星、紫杉醇、香豆素等),通过PEG调节释放速率。
4. 与探针系统构建
通过包合荧光染料(如Nile Red、Rhodamine B、FITC修饰分子)实现可视化载体构建与细胞成像。
5. 响应型智能材料
可搭配pH、温度、竞争客体等条件控制β-CD与客体的结合与解离,构建环境响应型纳米系统。
六、操作方法简述
✅ 脂质体制备步骤(薄膜水化法)
将DSPE、胆固醇、DSPE-PEG2000-β-CD(比例如65:30:5)溶于氯仿;
蒸发形成均匀脂膜,置真空干燥;
加入水相或PBS缓冲液,37–60°C水化;
超声或挤出处理制得均一脂质体;
通过透析去除游离未结合小分子。
✅ 客体包合应用建议
将目标小分子溶于水/乙醇中;
缓慢加入DSPE-PEG2000-β-CD溶液,搅拌反应形成包合复合物;
可透析或超滤去除未结合小分子;
包合效率可通过UV、荧光、NMR等确认。
七、注意事项与储存建议
项目 建议说明
避光处理 β-CD对某些包合物有光敏性,操作过程中建议避光
pH控制 β-CD对客体结合的稳定性与pH有关,应避免极端酸碱
温度控制 超过70°C可能引起PEG或脂肪链降解
长期保存 建议–20°C干燥密封避光保存,避免吸潮与氧化
八、安全信息
本产品为研究级材料,禁止用于人体或动物临床;
操作时佩戴手套与口罩,避免吸入或接触眼睛;
DMSO、氯仿等溶剂使用时需注意通风防护;
废液请按有机化学实验室标准处理。
九、文献支持与案例推荐
Torchilin V. PEG-modified liposomes for drug delivery. Nat Rev Drug Discov., 2005.
Mura S. et al. Stimuli-responsive nanocarriers for drug delivery. Nat Mater., 2013.
Zhao Y et al. Supramolecular self-assembly through host-guest interaction of cyclodextrin and liposomes. Langmuir, 2010.
Zhou Q. et al. CD-based lipid bilayer nanoparticles for smart delivery. Bioconjug Chem., 2019.
十、订购信息(示意)
项目 内容
产品名称 DSPE-PEG2000-β-Cyclodextrin
分子量 ~4700–5000 Da
包装规格 5 mg / 10 mg / 25 mg / 定制
纯度 ≥95%(HPLC)
提供资料 COA、MSDS、结构式图谱、包合实验参考
储存方式 –20°C 干燥避光保存
十一、总结
DSPE-PEG2000-β-Cyclodextrin 是一种将磷脂膜锚定、亲水性PEG包覆以及分子识别/包合功能集成于一体的高性能分子构件。其独特的主客体识别能力使其在药物递送系统、自组装材料、荧光探针、智能响应平台等领域中展现出广泛的适用性和高度的结构可设计性。
西安齐岳生物科技有限公司专注于高品质聚乙二醇(PEG)及其衍生物的研发与生产,提供涵盖线性PEG、支化PEG、多官能团PEG、嵌段共聚物PEG等在内的多种基础结构产品,广泛应用于生物医药、诊断试剂、纳米材料及化学合成等领域。公司具备灵活的定制能力,可根据客户需求提供特定分子量(200–20,000 Da)、官能团(如-NH₂、-COOH、-SH、-N₃、-Biotin、等)以及不同结构的PEG修饰服务。凭借先进的合成平台与严格的质量控制体系,齐岳生物致力于为科研、药物开发和材料应用提供可靠、稳定、可追溯的PEG解决方案,支持客户实现从实验室研究到产业转化的各类需求。
厂家:西安齐岳生物科技有限公司
用途:科研
状态:固体/粉末/溶液
产地:西安
温馨提醒:仅供科研,不能用于人体实验!
相关产品:
DSPE-PEG2000-SPDP
DSPE-PEG2000-Vitamin A
DSPE-PEG2000-Phosphorylethanolamine
DSPE-PEG2000-borneol
DSPE-PEG2000-Mannose
DSPE-PEG2000-Glucose
DSPE-PEG2000-Galactose
DOPS-PEG2000-CY3
DOPS-PEG2000-SH




齐岳微信公众号
官方微信
库存查询