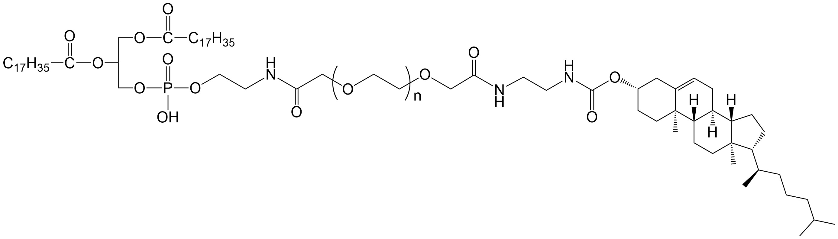
DSPE-PEG2000-Chol
DSPE-PEG2000-Chol在膜结构调控与靶向递送系统中的作用机制研究
一、产品概述
产品名称:DSPE-PEG2000-Chol
英文名称:1,2-Distearoyl-sn-glycero-3-phosphoethanolamine-N-[poly(ethylene glycol)2000]-Cholesterol
简称:DSPE-PEG₂₀₀₀-Chol
分子量:约4000 Da
外观:类白色至浅黄色粉末或蜡状固体
溶解性:溶于DMSO、DMF等极性有机溶剂,水中溶解性有限
储存条件:–20°C,避光干燥密封保存
产品类别:功能化脂质偶联物,脂质体修饰剂
主要用途:脂质体及纳米粒的表面修饰,构建高稳定性脂质载体,靶向递送系统开发
二、结构组成及功能解析
DSPE-PEG2000-Chol 是由DSPE脂质分子与胆固醇(Cholesterol)通过聚乙二醇(PEG2000)桥联形成的功能性脂质偶联物,结合了脂质膜插入性、PEG隐身效应及胆固醇特有的膜稳定功能。其组成和功能如下:
1. DSPE(1,2-Distearoyl-sn-glycero-3-phosphoethanolamine)
由两个饱和硬脂酸链组成,确保分子插入脂质双层的稳定性和膜的机械强度;
常用于脂质体结构的基础脂质。
2. PEG2000(聚乙二醇)
中等长度PEG链,提供亲水保护层,减少非特异性蛋白吸附和免疫识别;
延长脂质体及纳米粒的体内循环时间,提升生物稳定性。
3. Cholesterol(胆固醇)
脂溶性小分子,广泛存在于生物膜中,调节膜流动性和稳定性;
通过与PEG2000末端共价连接,使胆固醇分子暴露于外,增强脂质体表面功能;
促进膜结构致密性,提高纳米载体稳定性和耐血清性能。
三、理化性质及关键参数
参数 说明
分子量 约4000 Da
疏水段 DSPE双硬脂酸链
PEG链长度 PEG2000
功能基团 胆固醇通过PEG链端共价连接
外观 类白色至浅黄色粉末或蜡状固体
溶解性 溶于DMSO、DMF等有机极性溶剂,水中溶解性有限
储存条件 –20°C,避光干燥密封保存
膜相互作用 胆固醇增强脂质体膜致密性与稳定性
四、产品优势
1. 结合胆固醇优势,提升膜稳定性
胆固醇是天然细胞膜的重要组分,能有效调节膜流动性,增加脂质双层的致密性和机械稳定性,减少膜渗漏和非特异性破裂。
2. PEG隐身效应,延长循环时间
PEG2000链段形成亲水屏障,降低免疫系统识别,减少蛋白吸附,显著延长脂质体在体内的血液循环时间。
3. 便于表面修饰和功能化
PEG链端的胆固醇可作为亲脂性锚定点,用于修饰脂质体表面或结合其他功能分子,实现多功能纳米载体构建。
4. 优异的生物相容性
由天然脂质和胆固醇组成,结合PEG的生物惰性,保证了良好的体内相容性和低免疫原性。
五、典型应用领域
1. 脂质体和纳米粒稳定化
DSPE-PEG2000-Chol用作脂质体的膜稳定剂,提高脂质体结构完整性,延缓药物释放,增强载体耐血清性能。
2. 靶向递送系统构建
通过调节胆固醇含量,优化脂质体膜的流动性和刚性,配合靶向配体,提升纳米载体的靶向能力和治疗效果。
3. 免疫治疗及疫苗载体
增强脂质体的稳定性和体内循环时间,提升抗原递送效率,促进免疫激活。
4. 膜生物物理学研究
作为胆固醇模拟分子,研究膜流动性、膜蛋白作用及脂质相行为。
六、使用建议与操作方法
1. 脂质体制备
与其他脂质(如DSPC、胆固醇等)共溶于有机溶剂,旋转蒸发制备脂质薄膜;
水化并通过超声或挤出法制备均一脂质体;
DSPE-PEG2000-Chol可按比例掺杂,调整膜性质和功能。
2. 储备液制备
建议溶解于DMSO或DMF,制备1-10 mg/mL储备液,避光冷藏保存。
3. 配合功能分子使用
PEG端胆固醇有助于结合脂溶性分子,亦可与其他修饰脂质协同使用,实现多功能脂质体设计。
七、注意事项
项目 说明
储存要求 –20°C,避光干燥密封保存,防止脂质氧化和PEG降解
操作环境 建议在干燥避光条件下操作,避免高温和强光照射
溶剂选择 选用无水有机极性溶剂,避免水分导致不稳定
生物安全 仅限科研使用,避免粉尘吸入及长期皮肤接触
八、安全信息
仅限科研使用,非医疗用途;
实验操作需佩戴防护装备,防止吸入粉尘及溶剂接触;
废弃物按实验室安全规范妥善处理。
九、参考文献
Allen TM, Cullis PR. Liposomal drug delivery systems: From concept to clinical applications. Adv Drug Deliv Rev. 2013.
Immordino ML, Dosio F, Cattel L. Stealth liposomes: review of the basic science, rationale, and clinical applications, existing and potential. Int J Nanomedicine. 2006.
Gabizon A, et al. Liposomal formulations of anticancer drugs. Clin Cancer Res. 2016.
Bozzuto G, Molinari A. Liposomes as nanomedical devices. Int J Nanomedicine. 2015.
十、订购信息示例
项目 规格与参数
产品名称 DSPE-PEG2000-Chol
分子量 约4000 Da
包装规格 5 mg / 10 mg / 定制
纯度 ≥95%(HPLC或NMR确认)
提供资料 COA、MSDS、结构式、使用说明书
储存条件 –20°C 干燥避光密封保存
十一、总结
DSPE-PEG2000-Chol 是一种融合了天然脂质DSPE、PEG保护链及胆固醇功能基团的高性能脂质偶联物。通过PEG链连接的胆固醇,极大提升了脂质体的膜稳定性和生物相容性,同时赋予脂质体更优异的体内循环性能和功能化潜力。该产品广泛应用于脂质体和纳米粒的构建与修饰,是现代纳米药物递送、疫苗开发及膜生物物理研究的重要材料。
西安齐岳生物科技有限公司专注于高品质聚乙二醇(PEG)及其衍生物的研发与生产,提供涵盖线性PEG、支化PEG、多官能团PEG、嵌段共聚物PEG等在内的多种基础结构产品,广泛应用于生物医药、诊断试剂、纳米材料及化学合成等领域。公司具备灵活的定制能力,可根据客户需求提供特定分子量(200–20,000 Da)、官能团(如-NH₂、-COOH、-SH、-N₃、-Biotin、等)以及不同结构的PEG修饰服务。凭借先进的合成平台与严格的质量控制体系,齐岳生物致力于为科研、药物开发和材料应用提供可靠、稳定、可追溯的PEG解决方案,支持客户实现从实验室研究到产业转化的各类需求。
厂家:西安齐岳生物科技有限公司
用途:科研
状态:固体/粉末/溶液
产地:西安
温馨提醒:仅供科研,不能用于人体实验!
相关产品:
DSPE-NBD
DOPE-CY5
DOPE-CY5.5
DOPE-CY7
DOPE-FITC
DOPE-NBD
DOPE-RB
DMPE-CY5
DMPE-NBD




齐岳微信公众号
官方微信
库存查询