大环配体 DETA-DTPA-PES 偶联聚醚砜 Me-Cyclen 修饰甲基科研用
大环配体 cyclen 和 DTPA 及其衍生物具有配位性能,在化学及生物医学领域中有良好的应用潜力。

介绍:
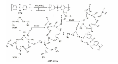
将制备的氯乙酷化聚醚矶有机溶液置于三口圆底烧瓶中加入制备的乙烯三胺五乙酸与二乙烯三胺混合溶液,将其固定于可控温磁力搅挫器上,并在300rmin’的转速下磁力搅挫溶液,同时向其中通入氮气,氮气流速为 50mL min’,开启可温控磁力搅挫器加热,使混合溶液温度由室温以5Cmin’的升温速率升至8085C,并保持溶液温度为80~85C,继续搅挫4 h:加入0.5g聚乙烯咯烷酮粉末,继续搅拌1h 使聚乙烯咯烷酮充分溶解,向混合溶液中加入 1mL 质量浓度为5%的醋酸水溶液搅拌 1h,得改性之后的载带多氨基羚酸官能基团的聚酬矶功能分离膜所需要使用的膜铸液
取一光滑玻璃棒,在其两端分别缠绕长度为 25 cm、直径为 0.15m的铜丝,玻璃棒两边铜丝的匝数和厚度相同:将制得的共混铸液倒在光滑洁净的玻璃板上,将玻璃棒水平置于光滑玻璃板一端,此时缠绕的铜丝分别置于玻璃板两侧,以2.0cm s-1的速度平行拉动玻璃棒使膜铸液均匀涂覆在玻璃板上,拉制过程需保持玻璃板上无气泡出现,将液态薄膜静置于空气状态下保持 20~40s 无外力触碰,将玻璃板连同刮制的液态薄膜整套装置放入到冷凝浴溶液中,浸没以期使液态薄层凝胶化成膜,冷凝浴溶液为质量浓度为 1%的碳酸钠溶液,冷凝浴溶液温度为 40~50C:将膜自动从玻璃板上剥离后,将其取出并用去离子水洗涤,制得载带多氨基羚酸官能基团的聚酬矶分离膜。
相关产品:
1,7-二(苄氧基羰基)-cyclen
1,7-二(2-对苄氧基苯氧基)乙基-4,10-二(苄氧基羰基)-cyclen
4-(2-对苄氧基苯氧基)乙基-1,7-二(苄氧基羰基)-cyclen
1,7-二(2-对羟基苯氧基)乙基-cyclen
1-(2-对羟基苯氧基)乙基-cyclen
FC-Cyclen二茂铁基团-大环配体
Me-Cyclen甲基-大环配体
厂家:西安齐岳生物科技有限公司
储存时间:1年
保存:冷藏
温馨提醒:仅供科研,不能用于人体实验




齐岳微信公众号
官方微信
库存查询