COOH-PEG-COOH 39927-08-7 的分享
发布时间:2023-03-06     作者:LYQ   分享到:
产品基本信息:
中文名称:α,ω-二羧基聚乙二醇
英文名称:COOH-PEG-COOH
CAS No.:
39927-08-7
产品纯度:
≥95%
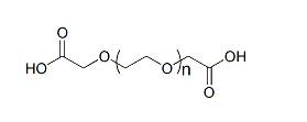
结构式:

状态:固体或粘稠液体,取决于分子量大小
保存时间 1年
溶解度:溶于水及大部分有机溶剂
端基取代率:≥95%
PEG衍生物的介绍:
PEG衍生物溶于水、乙醇和许多其它有机溶剂。 蒸气压低,对热、酸、碱稳定。 与许多化学品不起作用。 有良好的吸湿性、润滑性、粘结性。 无毒,无刺激。
公司可以提供各种高分子PEG衍生物,分子量从1000-20000不等,涉及甲氧基PEG|氨基PEG|羧基PEG|巯基PEG|叠氮PEG|八臂PEG|四臂PEG|活性酯PEG|叶酸PEG|生物素PEG|马来酰亚胺PEG|荧光素PEG|罗丹明PEG|丙烯酸酯PEG|磷脂PEG|琥珀酰亚胺PEG|炔基PEG|羟基PEG|叶酸PEG|硅烷PEG等基团,同时我公司新推出了单分散的小分子量PEG/PEO衍生物,PEG/PEO的重复单元从2个-24个不等。
生产商:西安齐岳生物科技有限公司
生产地:陕西西安
温馨提示:仅用于科学研究
产品推荐:
COOH-PEG6-OtBu CAS No.: 2093153-84-3
COOH-PEG6-COOH CAS No.: 94376-75-7
COOH-PEG5-SPA CAS No.: 1343476-41-4
COOH-PEG5-OtBu CAS No.: 1309460-29-4
COOH-PEG5-COOH CAS No.: 119189-70-7
COOH-PEG4-OtBu CAS No.: 1835759-85-7




齐岳微信公众号
官方微信
库存查询