DSPE-PEG-COOH 1403744-37-5 linzhi -聚乙二醇-羧基 的分享
发布时间:2023-03-06     作者:LYQ   分享到:
产品基本信息:
中文名称:二硬脂酰基磷脂酰乙醇胺-聚乙二醇-羧基
英文名称:DSPE-PEG-COOH
CAS No.:
1403744-37-5
英文别名:
DSPE-PEG-Acid
DSPE-PEG-Carboxylic acid
产品纯度:
≥95%
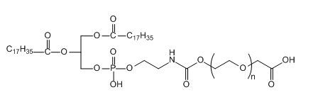
结构式:

状态:固体或粘稠液体,取决于分子量大小
保存时间 1年
溶解度:溶于水及大部分有机溶剂
端基取代率:≥95%
产品说明:
PEG衍生物又称PEG(聚乙二醇)修饰剂,修饰性PEG等。是带有官能团的PEG,目前主要用于蛋白质药物修饰,以增加体内半衰期,降低免疫原性,同时还可以增加药物的水溶性。
西安齐岳生物科技有限公司提供各种合成磷脂,高分子PEG衍生物,小分子聚乙二醇,USPIO超顺磁性氧化铁纳米颗粒,纳米金,纳米金棒,树枝状聚合物,荧光染料及交联剂等等产品。
生产商:西安齐岳生物科技有限公司
生产地:陕西西安
温馨提示:仅用于科学研究
产品推荐:
COOH-PEG4-COOH CAS No.: 439114-13-3
COOH-PEG3-SPA CAS No.: 1835759-79-9
COOH-PEG3-OtBu CAS No.: 1807539-06-5
COOH-PEG3-NH2.HCl CAS No.: 127457-79-8
COOH-PEG3-COOH CAS No.: 31127-85-2
COOH-PEG2-OtBu CAS No.: 2086688-99-3




齐岳微信公众号
官方微信
库存查询