5(6)-羧基荧光素琥珀酰亚胺酯(5(6)-FAMSE)合成路线
【产品介绍】
常用中文名:5(6)-羧基荧光素琥珀酰亚胺酯
常用英文名:5(6)-FAM SE
CAS号:117548-22-8
分子式:C25H15NO9
分子量:473.39
熔点:224ºC
PSA:114.12000
LogP:3.42910
储存条件:密封、在 -20ºC下保存

【合成路线】
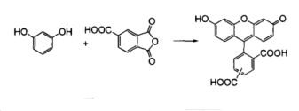
羧基荧光素的合成
主要反应式

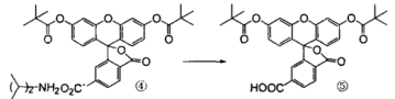
二特戊酰基保护的荧光素的合成
主要反应式

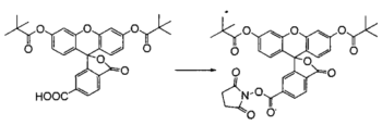
6-羧基荧光素琥珀酰亚胺酯的合成
主要反应式

西安齐岳生物科技有限公司可以提供以下二维纳米材料:Mxene、过渡金属碳化物和氮化物(MXenes)、MAX相陶瓷材料、石墨烯、石墨炔、拓扑绝缘体、过渡族金属硫化物、六角氮化硼(h-BN)、磷烯、锑烯、铋烯 智能黑磷水凝胶纳米医药载体、钙钛矿二维材料、二硫化钼(MoS2)、二硫化钨(WS2)、黑磷纳米材料、C3N4纳米片、二维锗烯量子点、酞菁纳米片、普鲁士蓝定制、卟啉纳米片、碳纳米管定制。
齐岳供应相关产品:
6-dTMR
6-羧基-4,7-二氯四甲基罗丹明
6-FAM
6-羧基荧光素
5-FAM
5-羧基荧光素
5(6)-FAMSE
5(6)-羧基荧光素琥珀酰亚胺酯
5-FAMSE
5-羧基荧光素琥珀酰亚胺酯
6-FAMSE
6-羧基荧光素琥珀酰亚胺酯
5-AMF
4’-胺甲基-5-羧基荧光素
5-Carboxy-4'-aminomethylfluorescein
Fmoc-Lys(5/6-FAM)-OH
5/6-FAM标记的Lys赖氨酸
Fmoc-Lys(5-FAM)-OH
5-FAM标记的Lys赖氨酸
4-(2.3-Dimethyl-5-sulfo-3H-indol-
3-yl)benzoic acid
EDANS钠盐
Fmoc-statine-OH
6-氨基-1-己醇
4-二甲胺偶氮苯-4-羧酸
DABCYL酸
AZO520
zl 05.31




齐岳微信公众号
官方微信
库存查询