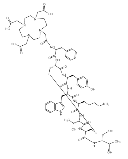
DOTA大环化合物,204318-14-9,DOTA-(酪氨酸3)-奥曲肽
发布时间:2025-07-01     作者:zyl   分享到:
常用名 依多曲肽
英文名 DOTA-(Tyr3)-Octreotide acetate salt
CAS号 204318-14-9
分子量 1421.64000
密度 1.46g/cm3
沸点 1723.7ºC at 760 mmHg
分子式 C65H92N14O18S2
熔点 N/A
闪点 996.2ºC

一种结合多肽药物与金属螯合配体的多功能大环化合物。奥曲肽是一种环状八肽类的生物活性肽,其模拟生理中生长抑素(Somatostatin)的作用,能够与体内多种生长抑素受体(SSTR)结合,其中SSTR2亲和力尤为突出。
DOTA是一个大环四氮杂配体,全称1,4,7,10-四氮杂环十四烷-N,N′,N″,N‴-四乙酸,用于稳定螯合金属离子如铋(Bi)、镓(Ga)、铕(Eu)、铥(Tm)等放射性或稳定性金属离子。
将DOTA与奥曲肽通过Tyr3(即第3位氨基酸为酪氨酸)链接,使该化合物既能靶向结合特定受体,又可以通过DOTA螯合放射性金属,用于分子影像(如PET、SPECT)或靶向放疗。
相关推荐:
Biotin PEG10 NHS
DBCO-PEG8-NH2, 二苯基环辛炔八聚乙二醇氨基
disulfo-ICG-COOH
1255942-05-2,DBCO-C6-amine,DBCO-C6-NH2
Sulfo ICG Me Tetrazine
diSulfo-ICG Maleimide,diSulfo-ICG Mal
2054339-00-1,FITC-Dibenzocyclooctyne
111790-37-5,Biotin Amine
BCN NHS ester 1516551-46-4




齐岳微信公众号
官方微信
库存查询