常用名 Edotreotide
中文名 依多曲肽
英文名 DOTA-(Tyr3)-Octreotide acetate salt
CAS号 204318-14-9
分子量 1421.64000
密度 1.46g/cm3
沸点 1723.7ºC at 760 mmHg
分子式 C65H92N14O18S2
熔点 N/A

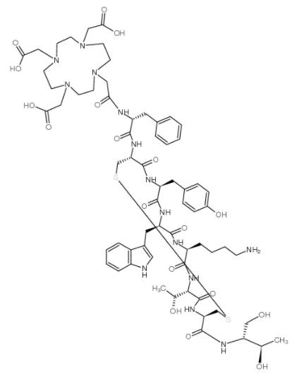
Edotreotide,又称 DOTATOC,全称为 DOTA-[Tyr³]-octreotide,是一种基于奥曲肽(octreotide)衍生物的多肽分子。
它是分子影像学及靶向治疗领域中极为重要的化合物,主要用于靶向 生长抑素受体亚型 2(SSTR2)。
Edotreotide 是由环状八肽奥曲肽衍生而来,通过在分子结构中引入 DOTA 螯合基团,实现与放射性金属离子的牢固结合,从而制备放射性标记的示踪剂或治疗剂。
从化学结构上看,Edotreotide 的主体是环状多肽,其中 Tyr³(酪氨酸位于多肽的第 3 位)被保留,这是其与 SSTR2 高亲和力结合的重要结构特征。
此外,其 C 端通过氨基连接 DOTA(1,4,7,10-tetraazacyclododecane-1,4,7,10-tetraacetic acid),赋予其与金属离子如 ^68Ga、^90Y、^177Lu 等螯合的能力。DOTA 螯合基团不仅保证了放射性金属的稳定固定,也显著提高了分子的体内稳定性,减少了放射性同位素游离的风险。
Edotreotide 对 SSTR2 的亲和力较高,这使得它成为检测和定位 SSTR2 高表达肿瘤的分子探针。
相关推荐:
NH2-11-dUTP,氨基-11-三磷酸胞苷
110698-53-8,5-(十八酰基氨基)荧光素
DOTA-octreotide似
DOTA-TATE,177943-88-3
PMB-DCL
1703768-74-4,Vipivotide tetraxetan Linker
AF647-TSA
1026987-94-9,DUPA(OtBu)-OH
Amino-11-dCTP
Amino-11-CTP,氨基-11-三磷酸胞苷
Cyanine5 Tyramide 花青素荧光染料Cy5




齐岳微信公众号
官方微信
库存查询