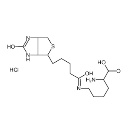
Biocytin hydrochloride,中文名称为生物素赖氨酸盐酸盐,是生物素(Biotin)的赖氨酸衍生物,是一种重要的生物化学试剂和分子探针。它结合了生物素的高亲和力性质以及氨基酸赖氨酸的氨基基团,可用于多种生物偶联、细胞标记、神经示踪以及分子探针制备等领域,是现代生命科学研究和生物技术中的常用试剂之一。其盐酸盐形式提高了其溶解性和稳定性,使其在实验操作中更易于应用。
常用名 Nε-Biotinyl-L-lysine
英文名 2-amino-6-[5-(2-oxo-1,3,3a,4,6,6a-hexahydrothieno[3,4-d]imidazol-4-yl)pentanoylamino]hexanoic acid,hydrochloride
CAS号 98930-70-2
分子量 408.94400
分子式 C16H29ClN4O4S
熔点 N/A

应用领域
1. 神经示踪(Neuronal Tracing)
Biocytin 是神经解剖学示踪剂。由于分子量小,能够轻易通过神经细胞间的缝隙连接(gap junctions),用于标记和追踪神经元的形态、投射路径和网络联系。实验步骤包括注射 Biocytin、组织切片、与标记的亲和素偶联物(如荧光素亲和素、辣根过氧化物酶亲和素)结合,并通过显色或荧光检测神经纤维走向。
2. 生物偶联和标记
Biocytin hydrochloride 可用于标记:
蛋白质(如抗体、酶)
核酸探针(DNA、RNA)
多肽或小分子药物
标记后的分子可利用亲和素—生物素体系进行二次检测或富集。
3. 细胞标记与纯化
Biocytin 标记细胞表面蛋白后,可与磁珠结合进行免疫磁分选。
在细胞功能研究中,Biocytin 可用作细胞内部标记物,用于识别和分析特定细胞群。
4. 生物传感器开发
在生物芯片、纳米传感器中,Biocytin 常用于修饰传感表面,实现目标分子高选择性检测。
相关推荐:
THP(Bz3)-Glu
1807847-98-8,THP-NCS
288574-78-7,ZINPYR-1
2228857-32-5,Azide-SS-COOH
91809-66-4(5-TAMRA)
TAMRA-Biotin-Azide
p-SCN-Bn-DOTA ,127985-74-4
2055014-94-1,Propargyl PEG8 COOH
Propargyl PEG1 Acid ,55683-37-9
1404111-67-6,BocNH-PEG5-OH
361189-66-4,Azide PEG7 COOH
236754-49-7,Azide-PEG5-Tos




齐岳微信公众号
官方微信
库存查询