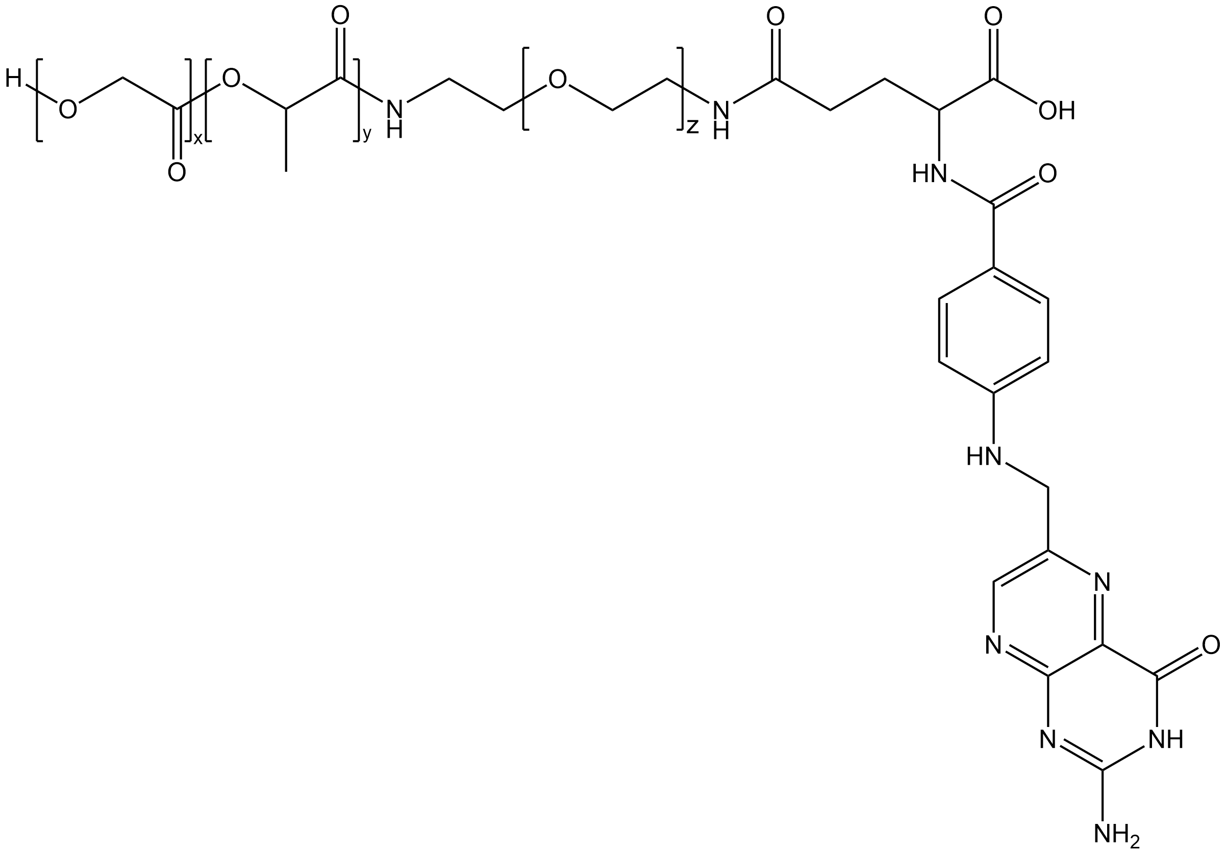
PLGA-PEG-FA
PLGA-PEG-FA共聚物构建高效叶酸介导的纳米载体平台
PLGA-PEG-FA 产品信息介绍
一、产品概述
PLGA-PEG-FA 是一种功能化两亲性嵌段共聚物,由生物可降解的聚乳酸-羟基乙酸(PLGA)、亲水的聚乙二醇(PEG)以及叶酸(Folic Acid, FA)末端修饰组成。该材料结合了PLGA良好的载药性与PEG的隐形保护能力,并通过叶酸靶向结构使其具有针对高表达叶酸受体的肿瘤细胞进行靶向递送的能力。其广泛应用于肿瘤纳米药物、靶向基因递送系统、成像探针等纳米平台的构建。
二、分子结构与组成
PLGA:生物降解性疏水段,形成纳米粒核心,载药能力强;
PEG:亲水链段,增强血液稳定性与循环时间;
FA(Folic Acid):PEG末端接枝叶酸,可识别肿瘤表面叶酸受体,实现主动靶向。
典型结构:
PLGA – PEG – FA
或
PLGA – PEG – NH2 → FA(通过碳二亚胺化学耦合)
三、物化性质(可定制参数)
项目 参数范围
外观 淡黄色粉末或蜡状固体
PLGA 分子量 5k–30k Da(常见10k–20k)
PEG 分子量 1k–5k Da(常见2k)
LA/GA 比例 50:50, 65:35, 75:25
FA 修饰率 ≥85%
纯度 ≥95%(HPLC)
溶解性 DMSO, DMF, DCM, THF, 有机酸或弱碱性水溶液
储存条件 -20°C干燥避光,密封保存
降解产物 乳酸 + 羟基乙酸 + PEG + FA(无毒)
四、合成原理与工艺简述
PLGA-PEG 合成:通过开环聚合或酯化反应,将羧基-PLGA 与氨基-PEG 或羟基-PEG 连接;
叶酸活化:将叶酸用 DCC/NHS 或 EDC/NHS 活化羧基,形成FA-NHS中间体;
FA 接枝:活化叶酸与PEG链末端氨基反应,形成稳定酰胺键;
纯化:通过透析、沉淀、层析等方式去除未反应物,冷冻干燥得产品;
验证:使用 ^1H-NMR、UV、GPC、FTIR 等技术进行结构表征。
五、功能特点
✅ 主动靶向性
叶酸受体(FR)在多种肿瘤(如卵巢癌、乳腺癌、肺癌)细胞表面高表达,而正常组织表达较低。FA修饰的纳米载体可通过FR介导内吞作用被肿瘤细胞主动摄取,增强递送效率。
✅ 可控降解
PLGA 通过水解分解为乳酸与羟基乙酸,生物相容性好,降解时间可根据 LA/GA 比例及分子量调整。
✅ PEG “隐形”特性
PEG链段降低蛋白吸附与免疫识别,延长纳米粒在血液中循环时间,提高体内稳定性与疗效。
✅ 多平台适配
PLGA-PEG-FA 适用于制备胶束、纳米粒、微球、水凝胶、薄膜等多种载体系统。
六、主要应用领域
1. 肿瘤靶向药物递送
适合包载紫杉醇(PTX)、多柔比星(DOX)、顺铂、CPT、靶向 siRNA、mRNA 等,显著增强递送效率与效果。
2. 肿瘤成像与诊疗一体化
结合荧光染料(如Cy5、ICG)、MRI探针、PET探针等,与PLGA-PEG-FA偶联或共载,实现靶向成像与治疗同步。
3. 基因与RNA递送
与阳离子材料复合(如PEI、PLL),用于叶酸介导的siRNA/mRNA转染系统,提高转染效率与特异性。
4. 靶向水凝胶/植入物
PLGA-PEG-FA 可与功能聚合物共聚形成可注射或植入水凝胶,用于肿瘤局部治疗、缓释系统、免疫增强平台等。
七、实验条件参考
项目 条件说明
纳米粒制备 溶剂挥发法、双乳液法、纳米沉淀法
FA接枝反应 pH 7.4, 室温反应 6–12 小时,常用DMF或DMSO
胶束浓度 通常为1–5 mg/mL,依据用途而定
FA结合位点 FA通过γ-羧基与PEG末端NH₂偶联,避免干扰其受体识别
八、表征方法推荐
方法 检测目的
^1H NMR 验证PEG、PLGA与FA的共聚结构
FTIR FA修饰特征峰检测(苯环、酰胺键)
UV-Vis FA最大吸收峰~280 nm,用于定量接枝率
DLS / Zeta 纳米粒粒径、电位分布
HPLC 纯度检测、未偶联FA去除确认
TEM / SEM 纳米粒形貌观察
九、代表性研究文献
Zhu S. et al. “Folic acid–modified PLGA–PEG nanoparticles for targeted delivery of docetaxel,” J Biomed Nanotechnol, 2011.
→ 成功制备PLGA-PEG-FA-PTX纳米粒,肿瘤摄取效率显著优于非靶向对照组。
Yoo J.W. et al. “Targeted delivery of siRNA by folate-conjugated PLGA nanoparticles,” Biomaterials, 2012.
→ FA修饰纳米粒实现叶酸受体阳性肿瘤细胞高效siRNA递送。
Liu C. et al. “Folic acid modified PLGA-PEG nanoparticles for targeted anti-cancer drug delivery,” Eur J Pharm Sci, 2015.
→ 药物释放曲线表明FA修饰并不影响PLGA控制释放行为,但显著提高细胞摄取。
十、存储与使用建议
保存条件:–20°C干燥、避光、密封(真空/氮气推荐);
使用方法:
使用前温和溶解于DMSO、乙腈或乙酸缓冲液;
避免高温、强碱环境,避免叶酸结构破坏;
纳米粒或胶束可用超声辅助制备;
稳定性:冷藏状态下稳定3–6个月,溶液形式建议现配现用。
十一、总结
PLGA-PEG-FA 是一种集 生物相容性、靶向性、可控释放性和功能化修饰能力于一体 的先进两亲性共聚物材料。它在肿瘤靶向递药、诊疗一体化平台构建、核酸递送、疫苗开发等领域具有广泛的应用潜力。其良好的可调性和生物性能,已在多项体内外研究中被证实,是下一代纳米医学平台的重要基础材料。
西安齐岳生物科技有限公司专业提供高品质的PLGA(聚乳酸-羟基乙酸共聚物)、PLA(聚乳酸)及PCL(聚己内酯)等生物可降解高分子材料,广泛应用于药物控释载体、组织工程支架、微球制备、缓释注射剂、纳米颗粒等前沿生物医药和科研领域。公司产品具备分子量可控、乳酸/羟基乙酸比例、可按需功能化改性等特点,支持定制羧基(-COOH)、氨基(-NH₂)、巯基(-SH)等活性基团,满足不同实验或产业化应用需求。齐岳生物始终坚持质量为本、创新驱动,致力于为国内外科研院所和企业提供稳定、可靠的高分子材料解决方案。欢迎咨询订购或定制服务。
相关产品:
PLGA-PEG-OH
PLGA-PEG-NHS
PLGA-PEG-CHO
PLGA-PEG-FA
PLGA-PEG-Biotin
PLGA-PEG-Mannose
PLGA-PEG-DBCO
PLGA-PEG-HA
PLGA-PEG-TPP




齐岳微信公众号
官方微信
库存查询