COOH-PEG3-SPA 1835759-79-9 的纯度
发布时间:2023-03-07  作者:LYQ  分享到:
基本信息:
英文名称:COOH-PEG3-SPA
CAS No.:
1835759-79-9
英文别名:
Acid-PEG3-NHS ESTER
COOH-PEG3-NHS
产品纯度:
≥95%
分子式:
C14H21NO9
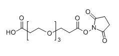
结构式:

状态:固体或粘稠液体,取决于分子量大小
保存时间 1年
稳定性:干燥避光条件下冷冻保存,避免反复冻融。
存储条件:-20°C,避光,避湿
分子量(PEG):其他分子量或规格可定制
产品描述:
PEG衍生物又称PEG(聚乙二醇)修饰剂,修饰性PEG等。是带有官能团的PEG,目前主要用于蛋白质药物修饰,以增加体内半衰期,降低免疫原性,同时还可以增加药物的水溶性。
西安齐岳生物科技有限公司供应定制合成磷脂、PEG磷脂、两亲嵌段共聚物,磁性纳米颗粒,纳米金,荧光量子点及树枝状聚合物、PEG衍生物等等产品.可供常规磷脂单体、PEG磷脂,改性磷脂,磷脂、聚合物磷脂、磷脂偶连无机纳米材料及微球类材料、单分散小分子PEG磷脂偶连产品,还可根据客户需要定制合成复杂及特殊的聚合物磷脂产品。
生产商:西安齐岳生物科技有限公司
生产地:陕西西安
温馨提示:仅用于科学研究
产品推荐:
LA-PEG3-NH-Mal CAS No.: 1314378-19-2
Mal-NH-PEG2-NHS CAS No.: 955094-26-5
Mal-NH-PEG2-TFP CAS No.: 1431291-44-9
Mal-NH-PEG3-NH-Mal CAS No.: 1008402-47-8
Mal-NH-PEG4-NHS CAS No.: 756525-99-2
Mal-NH-PEG4-OtBu CAS No.: 1415800-35-9




齐岳微信公众号
官方微信
库存查询