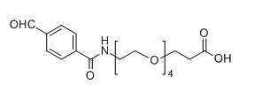
DF-PEG4-COOH 1309460-27-2 的结构式
发布时间:2023-03-07  作者:LYQ  分享到:
产品基本信息:
英文名称:DF-PEG4-COOH
CAS No.:
1309460-27-2
英文别名:
Ald-Ph-NH-PEG4-COOH
产品纯度:
≥95%
分子式:
C19H27NO8
产品结构式:

质量:95%+
分子量:我们提供常规的分子量,也可以根据客户需求进行定制
储存方式:-5°C以下保存,干燥,避光
分散系数:小于等于1.05
产品规格:500mg/1g/5g/10g
产品描述:
PEG衍生物有许多种类,例如:支链PEG衍生物,即Y-型PEG衍生物;直链单官能团PEG衍生物;同官能团双取代PEG衍生物;多臂PEG衍生物。
西安齐岳生物科技有限公司供应定制合成磷脂、PEG磷脂、两亲嵌段共聚物,磁性纳米颗粒,纳米金,荧光量子点及树枝状聚合物、PEG衍生物等等产品.可供常规磷脂单体、PEG磷脂,改性磷脂,磷脂、聚合物磷脂、磷脂偶连无机纳米材料及微球类材料、单分散小分子PEG磷脂偶连产品,还可根据客户需要定制合成复杂及特殊的聚合物磷脂产品。
生产商:西安齐岳生物科技有限公司
生产地:陕西西安
温馨提示:仅用于科学研究,不可用于人体!
产品推荐:
Mal-PEG2-NHS CAS No.: 1433997-01-3
Mal-PEG2-OtBu CAS No.: 518044-35-4
Mal-PEG2-PFP CAS No.: 1807512-47-5
Mal-PEG3-NHS CAS No.: 1537892-36-6
Mal-PEG3-OtBu CAS No.: 518044-35-4
Mal-PEG3-PFP CAS No.: 1807534-78-6




齐岳微信公众号
官方微信
库存查询