文献:肽-PEG-脂质复合物的合成方法:奥曲肽-PEG-DSPE合成的应用
链接:https://www.sciencedirect.com/science/article/abs/pii/S0960894X08007944
作者:苏建秋 ,曾锦 禄 ,张定光 ,余文仁 ,吴世光
节选:
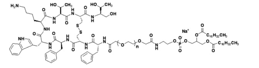
建立了一种肽-聚乙二醇-脂质(肽-PEG-脂质)偶联物的固相合成方法。以奥曲肽-PEG 2000 -DSPE(OPD 2000)为例,演示了该合成方法。所得OPD 2000的结构、活性和纯度均已确认,为制备靶向脂质体等结构明确的药物递送系统提供了靶向分子,以供进一步研究。

A solid phase synthesis method was established for the synthesis of peptide-poly(ethylene glycol)-lipid (peptide-PEG-lipid) conjugates. Octreotide-PEG2000-DSPE (OPD2000) was used as an example to demonstrate the synthetic approach. The OPD2000 obtained had confirmed structure, activity, and purity providing a targeting molecule for preparation of well-defined drug delivery systems, such as targeted liposomes, for further studies.
西安齐岳生物提供相关产品:
DSPE-PEG-Boronate
mPEG-DMPE
EB1-PEG-DSPE
DSPE-PEG-HZ
DSPE-PEG-PEI
DSPE-PEG-c(RGDfc)
DMPE (14:0 PE)
DSPE-PEG-scFv(HD37-CCH)(二硬脂酰基磷脂酰乙醇胺-聚乙二醇-肿瘤靶向蛋白)
以上文章内容来源各类期刊或文献,如有侵权请联系我们删除!




齐岳微信公众号
官方微信
库存查询