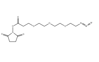
英文名称: Azido-PEG3-NHS ester
中文名称: 叠氮-三聚乙二醇-丙烯酸琥珀酰亚胺
MF: C13H20N4O7
MW: 344.32
CAS: 1245718-89-1

描述:
N₃-PEG₃-CH₂CH₂COONHS酯是一种短链型叠氮端活性酯PEG衍生物,含有三个乙二醇重复单元,具有较短的柔性间隔链和双端活性基团,适合于精细偶联或空间要求较低的修饰场景。
产品的NHS酯可与伯胺反应形成稳定的酰胺键,反应条件温和,适用于多种生物大分子,如蛋白质、抗体、肽类等。另一端的N₃基团可用于高效的CuAAC(铜催化叠氮-炔点击反应),可与炔基修饰的探针、载体、表面或药物分子共价连接。该结构特别适用于构建小分子双功能探针、生物传感元件、表面定向修饰以及快速连接模块化生物材料。
PEG₃的长度提供了必要的亲水性和一定程度的空间分隔,在保持分子紧凑性的同时,减少了空间位阻,特别适合需要高密度修饰或小尺寸连接的体系,如纳米颗粒包覆、生物芯片标记等。
来源产地:陕西·西安
包装规格:瓶装,规格可选:50 mg / 100 mg / 250 mg / 500 mg。
产品状态:提供固体、粉末或溶液形式,满足不同实验需求。
储存条件:请置于低温(冷藏)环境保存,避免光照和潮湿,以保证产品活性和稳定性。
品牌介绍:
西安齐岳生物科技有限公司专注于科研级药物传递与纳米靶向技术的研发与生产。公司产品涵盖合成磷脂、PEG衍生物、嵌段共聚物、纳米金属及磁性纳米颗粒、介孔二氧化硅、活性荧光染料、荧光量子点、点击化学试剂和大环配体等。我们秉持创新理念,致力于为国内科研院所和相关机构提供高品质的科研试剂,助力科研突破。
以上内容由小编kx整理,仅供科研使用。
产品推荐:
呋喃丙酰胺聚乙二醇马来酰亚胺
COOH-PEG-LA,羧基PEG硫辛酸,HOOC-PEG-LA
DF-PEG-COOH,MW:2000
甲氧基PEG羟基,MPEG-OH,MPEG
DPPG(1,2-棕榈酰磷脂酰甘油)
NHS-PEG-COOH,MW:2000
八臂PEG马来酰亚胺;8ARM-PEG-Maleimide,MW:10000
丙烯酸酯聚乙二醇马来酰亚胺




齐岳微信公众号
官方微信
库存查询