PCL-PEG-Biotin
PCL-PEG-Biotin功能聚合物助力蛋白偶联与活体追踪成像
一、产品概述
PCL-PEG-Biotin 是一种功能化嵌段共聚物,由疏水性聚己内酯(PCL)、亲水性聚乙二醇(PEG)及其末端修饰的生物素(Biotin)三部分构成。该共聚物兼具 良好的生物降解性、生物相容性、自组装能力 和 强靶向识别能力,尤其适用于构建生物素-亲和素系统(Biotin-Avidin/Streptavidin)下的多功能纳米载体、靶向递药系统、生物传感器和纳米材料构建平台等。
二、分子结构与命名
中文名称:聚己内酯-聚乙二醇-生物素
英文名称:Poly(ε-caprolactone)-block-poly(ethylene glycol)-biotin
缩写结构:PCL-PEG-Biotin(也可写为 Biotin-PEG-PCL 或 Biotin-PEG-b-PCL)
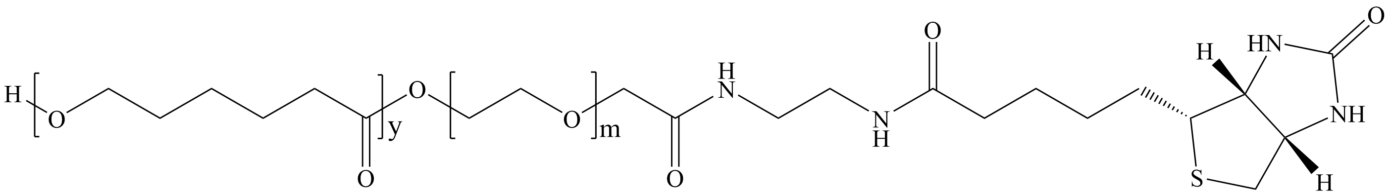
分子结构简图:
HO–[PCL]_n–[PEG]_m–Biotin
其中:
PCL(Polycaprolactone):疏水部分,包载药物;
PEG(Polyethylene glycol):亲水柔顺链段,提供生物相容性和延长血液循环时间;
Biotin(维生素H):特异性识别亲和素类蛋白(如Avidin、Streptavidin、NeutrAvidin)。
三、理化性质
性质 描述
外观 白色至淡黄色蜡状固体或粉末
溶解性 易溶于 DMSO、DMF、氯仿、THF 等有机溶剂,部分分散于水
分子量 常见如:PEG 2k ~ 5k,PCL 1k ~ 5k 可调;Biotin 修饰比例一般为 1:1
结构形式 两嵌段线性共聚物,单末端修饰(Biotin)
自组装能力 可在水中形成胶束或纳米粒(粒径50~150 nm)
CMC(临界胶束浓度) ~10⁻⁶–10⁻⁷ mol/L,取决于PCL/PEG比例
降解性 具良好生物降解性(由PCL链段提供)
四、合成路线概述
PCL-PEG-Biotin 的合成通常由以下三步组成:
步骤1:合成 PCL-PEG-OH
使用 PEG 作为引发剂,ε-己内酯开环聚合形成 PCL-PEG;
催化剂为 Sn(Oct)₂,反应在无水条件下进行。
步骤2:PEG末端羟基功能化
将 PEG-OH 转换为 羧基(–COOH),例如用琥珀酸酐反应形成 PEG-COOH;
或直接接入含反应基团的链端接头。
步骤3:生物素偶联
利用 EDC/NHS 活化 PEG-COOH,使其与 生物素-NH₂ 或 生物素-hydrazide 形成稳定酰胺键;
若使用 Biotin-NHS,可直接与 PEG-NH₂ 共聚物反应;
终产物通过透析去除游离Biotin与副产物。
五、生物功能与优势
1. 强靶向识别能力
生物素能高亲和力(Ka ~10¹⁵ L/mol)结合亲和素/链霉亲和素;
可用于构建 配对系统,通过非共价连接将纳米粒“扣合”于目标部位。
2. 良好生物相容性与长循环特性
PEG可抑制蛋白吸附、减少网状内皮系统清除;
延长血液中停留时间,增强药物累积。
3. 可控释放与包载能力
疏水核由PCL组成,可装载紫杉醇、顺铂等疏水药物;
控释特性有利于缓慢释放、降低毒副作用。
4. 模块化构建平台
Biotin 提供“连接点”与抗体、酶、荧光探针等实现快速偶联;
可用于“诊疗一体”、“靶向纳米平台”或智能响应材料系统。
六、典型应用领域
1. 靶向药物递送系统
PCL核包载药物;
PEG-Biotin 提供亲水外壳 + 靶向识别;
结合 Streptavidin 修饰抗体、肽段、aptamer,实现特异性递药。
2. 生物成像/荧光探针
将的亲和素(如Cy5.5-streptavidin)与Biotin聚合物结合,形成可视化追踪平台;
可用于体内成像、细胞示踪、定位释放系统研究。
3. 组织工程与功能化支架
将PCL-PEG-Biotin包覆于微球或支架表面,通过亲和素与细胞因子、肽段等偶联,调控细胞行为;
支持可注射型水凝胶系统的构建。
4. 纳米粒“click对接”系统
可用于构建多组分的模块化纳米药物平台,如:
Biotin-粒子 + Streptavidin-蛋白;
Biotin-聚合物 + Streptavidin-磁性粒子;
实现免疫修饰、靶向增强或诊疗复合平台构建。
七、产品规格示例(可定制)
产品编号 PEG分子量 PCL分子量 功能端基 纯度
PCL2k-PEG2k-Biotin 2000 2000 Biotin末端 >95%
PCL3k-PEG5k-Biotin 5000 3000 Biotin末端 >95%
PCL1k-PEG3.4k-Biotin 3400 1000 Biotin末端 >95%
可定制提供不同分子量、双端修饰(Biotin-PCL-PEG-PCL-Biotin)、共聚染料、点击化学接头(如Alkyne, Azide)等。
八、储存与使用建议
项目 建议
储存方式 -20°C干燥避光保存,避免潮湿
溶解建议 推荐先用 DMSO、THF、DMF 溶解,后转入水相形成胶束或纳米粒
使用注意事项 生物素端建议避免长期暴露于高温、高酸碱或紫外光下,以保持活性
胶束保存 建议低温4°C避光短期保存,防止粒径聚集变化或Biotin氧化失活
九、总结
PCL-PEG-Biotin 是一种集 生物相容性、靶向性、自组装能力 于一体的多功能高分子材料,兼具 PCL 的疏水药物承载能力、PEG 的血液循环延长能力 和 Biotin 的靶向识别能力,广泛应用于构建 药物递送系统、生物功能化探针、模块化纳米材料平台及信号放大体系。在肿瘤靶向治疗、诊疗一体化、生物材料修饰等前沿研究中,展现出卓越的应用前景。
西安齐岳生物科技有限公司专业提供高品质的PLGA(聚乳酸-羟基乙酸共聚物)、PLA(聚乳酸)及PCL(聚己内酯)等生物可降解高分子材料,广泛应用于药物控释载体、组织工程支架、微球制备、缓释注射剂、纳米颗粒等前沿生物医药和科研领域。公司产品具备分子量可控、乳酸/羟基乙酸比例、可按需功能化改性等特点,支持定制羧基(-COOH)、氨基(-NH₂)、巯基(-SH)等活性基团,满足不同实验或产业化应用需求。齐岳生物始终坚持质量为本、创新驱动,致力于为国内外科研院所和企业提供稳定、可靠的高分子材料解决方案。欢迎咨询订购或定制服务。
厂家:西安齐岳生物科技有限公司
用途:科研
状态:固体/粉末/溶液
产地:西安
温馨提醒:仅供科研,不能用于人体实验!
相关产品:
PLGA-SS-PEI
PLGA-SS-PEG-OH
PLGA-SS-PEG-COOH
PLGA-SS-PEG-NHS
PLGA-SS-PEG-SH
PLGA-SS-PEG-CHO
PLGA-SS-PEG-NH2
PLGA-SS-PEG-MAL
PLGA-SS-PEG-N3




齐岳微信公众号
官方微信
库存查询