基本信息:
英文名称:CBZ-NH-PEG6-COOH
CAS No.:
1334177-80-8
英文别名:
Cbz-N-amido-PEG6-COOH
产品纯度:
≥95%
分子式:
C23H37NO10
分子量:
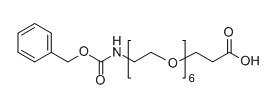
结构式:

分子量: 350、550、750、1000、2000、3400、5000、10000
溶解性:
溶于大部分有机溶剂,如:DCM、DMF、DMSO、THF等等。在水中有很好的溶解性
产品描述:
PEG衍生物依分子量不同而性质不同,从无色无臭黏稠液体至蜡状固体。分子量200~600者常温下是液体,分子量在600以上者就逐渐变为半固体状,随着平均分子量的不同,性质也有差异。从无色无臭粘稠液体至蜡状固体。随着分子量的增大,其吸湿能力相应降低。
西安齐岳生物科技有限公司可供常规磷脂单体、PEG磷脂,改性磷脂,磷脂、聚合物磷脂、磷脂偶连无机纳米材料及微球类材料、单分散小分子PEG磷脂偶连产品,还可根据客户需要定制合成复杂及特殊的聚合物磷脂产品、两亲嵌段共聚物,磁性纳米颗粒,纳米金,荧光量子点及树枝状聚合物、PEG衍生物等等产品,更有许多的库存产品可供选择,详情请咨询客服。
包装: 瓶装
生产商:西安齐岳生物科技有限公司
产地:西安
用途:仅用于科学研究,非医疗目的,非药用,非食用
温馨提示:仅用于科研,不能用于人体!
相关产品:
DF-PEG5-CH2CH2COOtBu CAS No.: 1433996-83-8
DF-PEG4-CH2CH2COOtBu CAS No.: 1807518-64-4
DF-PEG2-CH2CH2COOtBu CAS No.: 1807521-09-0
DF-PEG3-NH-Boc CAS No.: 1807540-87-9
DF-PEG2-NH-Boc CAS No.: 1807503-90-7




齐岳微信公众号
官方微信
库存查询