基本信息:
中文名称:N-叔丁氧羰基-五聚乙二醇-羧酸
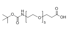
英文名称:Boc-NH-PEG5-COOH
CAS No.:
1347750-78-0
中文别名:
BOC-氨基-五乙二醇-羧酸
英文别名:
t-Boc-NH-amido-PEG5-COOH
产品纯度:
≥95%
分子式:
C18H35NO9
结构式:

分子量(PEG):根据客户需求定制
注意事项:在干燥的环境中取用,避免频繁的溶解和冻干
溶解性:溶于大部分有机溶剂,溶于水
产品描述:
PEG衍生物溶于水、乙醇和许多其它有机溶剂。 蒸气压低,对热、酸、碱稳定。 与许多化学品不起作用。 有良好的吸湿性、润滑性、粘结性。 无毒,无刺激。
我公司可以提供各种高分子PEG衍生物,分子量从1000-20000不等,涉及甲氧基PEG|氨基PEG|羧基PEG|巯基PEG|叠氮PEG|八臂PEG|四臂PEG|活性酯PEG|叶酸PEG|生物素PEG|马来酰亚胺PEG|荧光素PEG|罗丹明PEG|丙烯酸酯PEG|磷脂PEG|琥珀酰亚胺PEG|炔基PEG|羟基PEG|叶酸PEG|硅烷PEG等基团,同时我公司新推出了单分散的小分子量PEG/PEO衍生物,PEG/PEO的重复单元从2个-24个不等。
包装: 瓶装
生产商:西安齐岳生物科技有限公司
产地:西安
用途:仅用于科学研究,非医疗目的,非药用,非食用
温馨提示:仅用于科研,不能用于人体!
相关产品:
mPEG5-Br CAS No.: 854601-80-2
mPEG4-Br CAS No.: 110429-45-3
mPEG-MA CAS No.: 26915-72-0
MA-PEG-MA CAS No.: 25852-47-5
4-ArmPEG-MA
mPEG-DSPE CAS No.: 147867-65-0
DSPE-PEG-Mannose




齐岳微信公众号
官方微信
库存查询